SWA-PA-03729 2 SA-25 BOEING PROPRIETARY D. WHEREAS, Customer previously notified Boeing of (i) the exercise of fourteen (14) 2020 Option Aircraft pursuant to the terms of Letter Agreement No. SWA-PA-03729- LA-1106474R8 entitled “Option Aircraft” (Exercised 2020 Option Aircraft), and (ii) concurrent model substitution of the fourteen (14) Exercised 2020 Option Aircraft from model 737-8 to model 737-7 aircraft pursuant to the terms of Letter Agreement No. SWA- PA-03729-LA-1106471R2 entitled “Substitute Aircraft”, in the following quantities and Delivery Dates: three (3) September 2026, two (2) November 2026, two (2) December 2026, two (2) January 2027, two (2) February 2027, two (2) March 2027, and one (1) June 2027; E. WHEREAS, Customer previously notified Boeing of (i) the exercise of five (5) Original Option Aircraft pursuant to the terms of Letter Agreement No. SWA-PA-03729- LA-1106474R8 entitled “Option Aircraft” (Exercised Original Option Aircraft), and (ii) concurrent model substitution of the five (5) Exercised Original Option Aircraft from model 737-8 to model 737-7 aircraft pursuant to the terms of Letter Agreement No. SWA-PA- 03729-LA-1106471R2 entitled “Substitute Aircraft”, in the following quantities and Delivery Dates: two (2) April 2027, two (2) May 2027, and one (1) June 2027; F. WHEREAS, Customer and Boeing agree to change the Option Exercise Dates from the first calendar day in a particular month to the first business day in a particular month, as reflected in each of the attachments to Letter Agreement No. SWA-PA-03729- LA-1106474R8 entitled “Option Aircraft”; G. WHEREAS, Customer and Boeing agree to amend the Purchase Agreement to make certain changes to the Letter Agreements as a result of the respective changes in this SA-25; NOW, THEREFORE, the parties agree that the Purchase Agreement is amended as set forth below and otherwise agree as follows: 1. TABLE OF CONTENTS. The Table of Contents of the Purchase Agreement is hereby deleted in its entirety and replaced by a new Table of Contents (attached), which lists the Tables, Exhibits, and Letter Agreements revised or added by this SA-25 and is identified by “SA-25”. Such revised Table of Contents is incorporated into the Purchase Agreement by this reference. 2. TABLES. 2.1. Table 1A, Aircraft Delivery, Description, Price and Advance Payments – 737-8 Aircraft, is hereby deleted in its entirety and replaced by a new Table 1A (identified by “SA-25”) attached hereto and incorporated into the Purchase Agreement by this reference. Table 1A has been updated to add (i) forty-four (44) Substitution Aircraft as described in Recital Paragraph B above, and (ii) nineteen (19) Substitute Aircraft as described in Recital Paragraph C above. [***] [***]


 
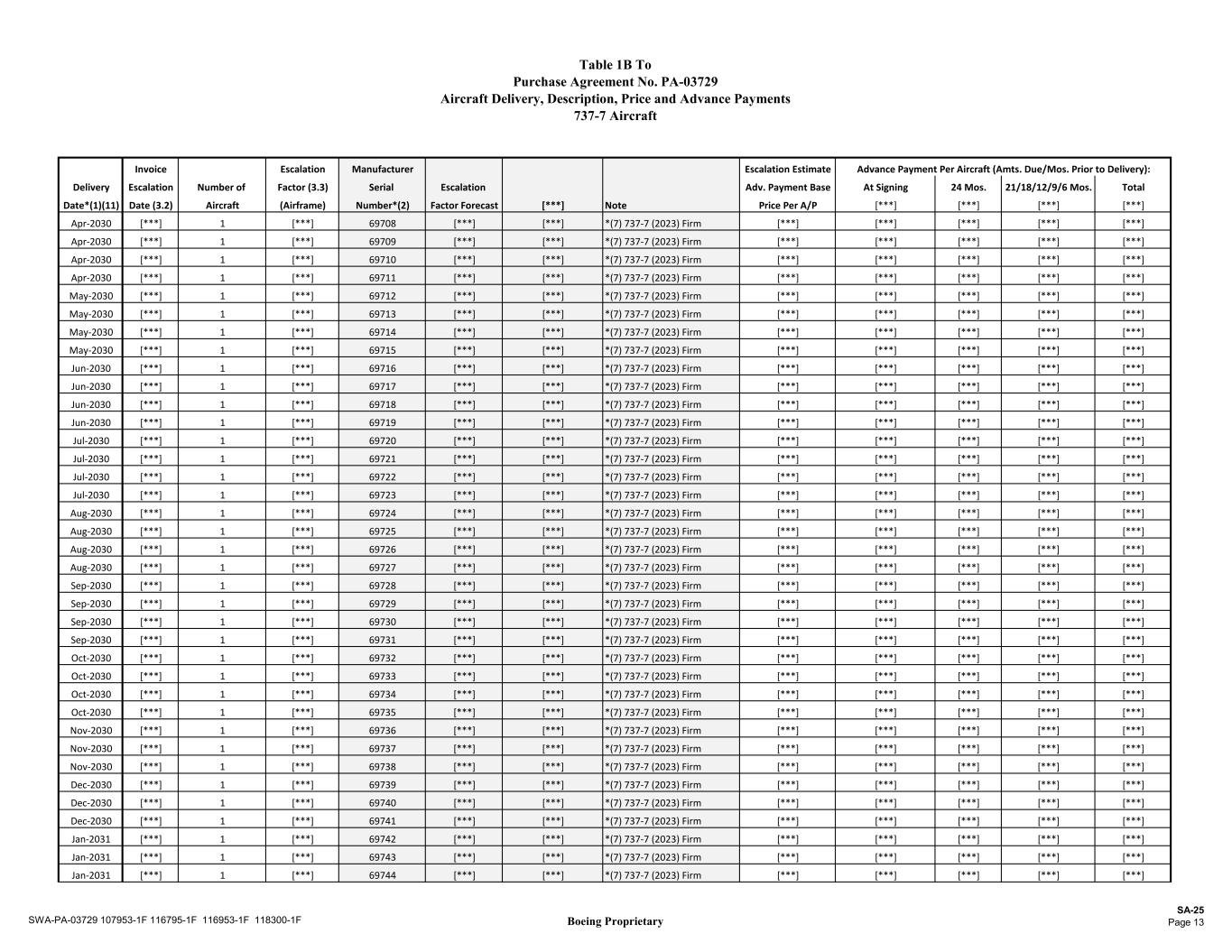
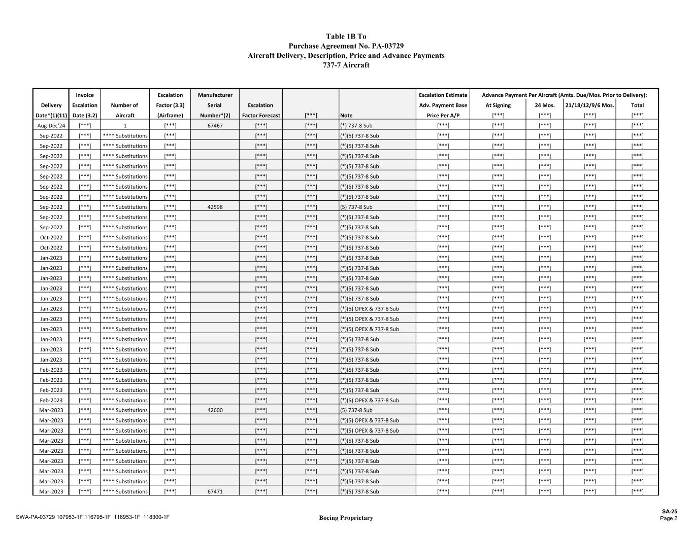
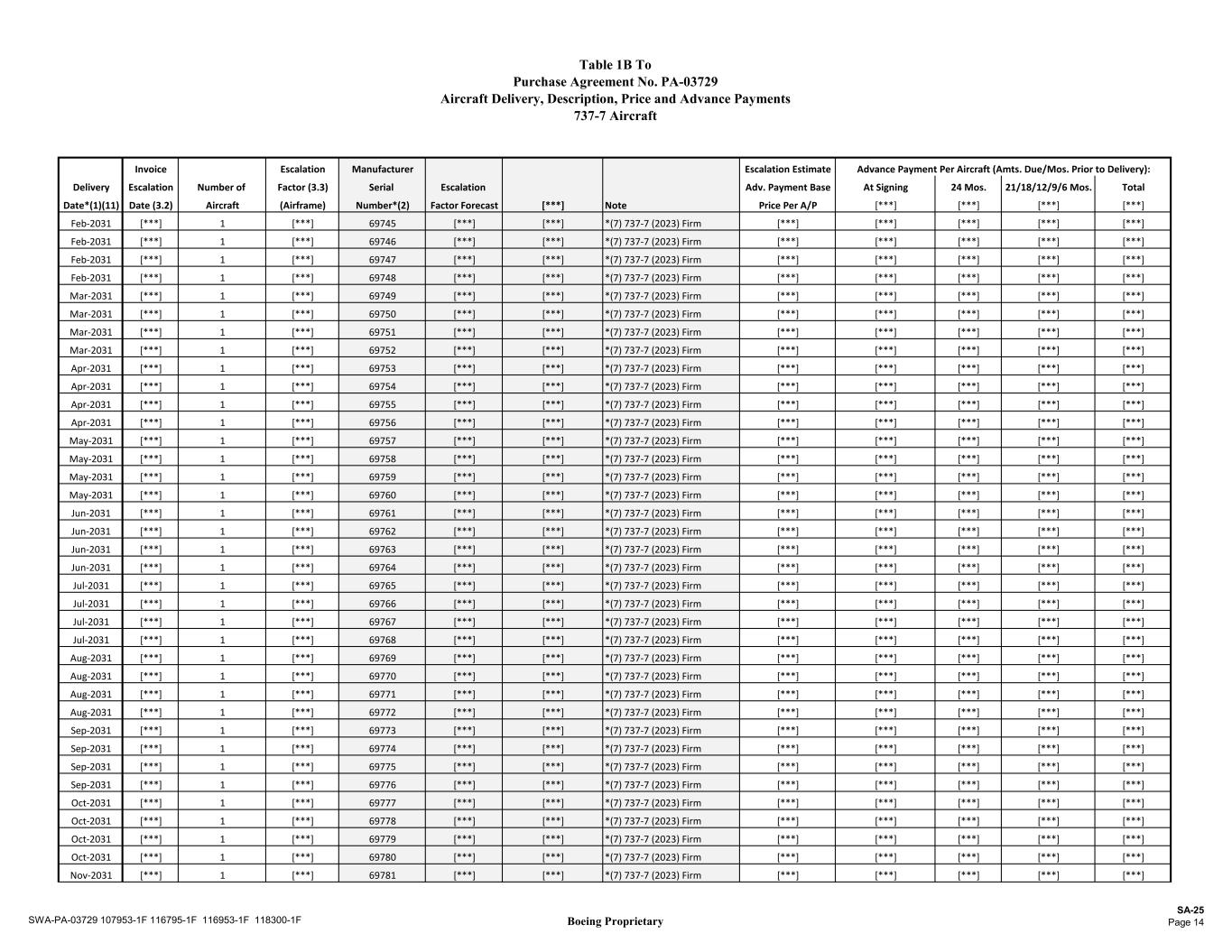
SWA-PA-03729 3 SA-25 BOEING PROPRIETARY 2.2. Table 1B, Aircraft Delivery, Description, Price and Advance Payments – 737-7 Aircraft, is hereby deleted in its entirety and replaced by a new Table 1B (identified by "SA-25") attached hereto and incorporated into the Purchase Agreement by this reference. Table 1B has been updated to (i) remove forty-four (44) Substitution Aircraft as described in Recital Paragraph B above, (ii) remove nineteen (19) Substitute Aircraft as described in Recital Paragraph C above, (iii) add fourteen (14) Exercised 2020 Option Aircraft as described in Recital Paragraph D above, and (iv) add five (5) Exercised Original Option Aircraft as described in Recital Paragraph E above. 3. LETTER AGREEMENTS. 3.1. Attachment 1-A, to Letter Agreement No. SWA-PA-03729-LA-1106474R8 entitled “Option Aircraft”, is hereby deleted in its entirety and replaced by a new Attachment 1-A (identified by "SA-25") attached hereto and incorporated into the Purchase Agreement by this reference. Attachment 1-A has been updated to (i) remove five (5) Exercised Original Option Aircraft as described in Recital Paragraph E above, and (ii) change the Option Exercise Dates as described in Recital Paragraph F above. 3.2. Attachment 1-B, to Letter Agreement No. SWA-PA-03729-LA-1106474R8 entitled “Option Aircraft”, is hereby deleted in its entirety and replaced by a new Attachment 1-B (identified by "SA-25") attached hereto and incorporated into the Purchase Agreement by this reference. Attachment 1-B has been updated to (i) remove fourteen (14) Exercised 2020 Option Aircraft as described in Recital Paragraph D above, and (ii) change the Option Exercise Dates as described in Recital Paragraph F above. 3.3. Attachment 1-C, to Letter Agreement No. SWA-PA-03729-LA-1106474R8 entitled “Option Aircraft”, is hereby deleted in its entirety and replaced by a new Attachment 1-C (identified by "SA-25") attached hereto and incorporated into the Purchase Agreement by this reference. Attachment 1-C has been updated to change the Option Exercise Dates as described in Recital Paragraph F above. 3.4. Attachment 1-D, to Letter Agreement No. SWA-PA-03729-LA-1106474R8 entitled “Option Aircraft”, is hereby deleted in its entirety and replaced by a new Attachment 1-D (identified by "SA-25") attached hereto and incorporated into the Purchase Agreement by this reference. Attachment 1-D has been updated to change the Option Exercise Dates as described in Recital Paragraph F above. 3.5. Letter Agreement No. SWA-PA-03729-LA-2202855R6 entitled “2023-2025 MAX Production Plan”, is hereby deleted in its entirety and replaced by Letter Agreement No. SWA-PA-03729-LA-2202855R7 entitled “2023-2026 MAX Production Plan”. Letter Agreement No. SWA-PA-03729-LA-2202855R7 has been updated to add (i) forty-four (44) Substitution Aircraft as described in Recital Paragraph B above, and (ii) nineteen [***] [***] [***]


 
SWA-PA-03729 4 SA-25 BOEING PROPRIETARY (19) Substitute Aircraft as described in Recital Paragraph C above. 4. SA-25 4.1 Due to Customer’s prior exercise of the Exercised Option Aircraft, Customer according to the terms of the Purchase Agreement. Customer agrees to make advance payments for such Exercised Option Aircraft in accordance with the terms of the Purchase Agreement. For clarity, 4.2 As it relates to the (i) Substitution Aircraft, and (ii) Substitute Aircraft, Customer and Boeing agree Customer agrees to continue to pay advance payments in accordance with the terms of the Purchase Agreement. 5 Miscellaneous. 5.1 The Purchase Agreement is amended as set forth above, and all other terms and conditions of the Purchase Agreement remain unchanged and are in full force and effect. Any Tables of Contents, Letter Agreements or other documents that are listed in the sections above are incorporated into this SA-25 by reference. EXECUTED IN DUPLICATE as of the day and year first above written. THE BOEING COMPANY SOUTHWEST AIRLINES CO. By: /s/ McKenzie Kuckhahn By: /s/ Jon Stephens Name: McKenzie Kuckhahn Name: Jon Stephens Its: Attorney-In-Fact Its: VP Fleet Management [***] [***] [***] [***] [***] [***] [***]


 
SWA-PA-03729 SA-25 Page 1 BOEING PROPRIETARY TABLE OF CONTENTS ARTICLES TITLES Article 1 Quantity, Model and Description SA-2 Article 2 Delivery Schedule Article 3 Price Article 4 Payment SA-2 Article 5 Additional Terms TABLE TITLE 1A 737-8 Aircraft Information Table SA-25 1B 737-7 Aircraft Information Table SA-25 EXHIBIT A1 737-8 Aircraft Configuration SA-11 A2 737-7 Aircraft Configuration SA-8 A-3 737-8 Remarket Aircraft Configuration SA-17 B* Aircraft Delivery Requirements and Responsibilities B-1 Remarket Aircraft Technical SA-17 Acceptance and Delivery Requirements and Responsibilities SUPPLEMENTAL EXHIBITS TITLES AE1* Escalation Adjustment/Airframe and Optional Features BFE1 BFE Variables for 737-8 SA-7 BFE2 BFE Variables for 737-7 SA-8 CS1 Customer Support Variables CS1-7MAX Customer Support Variables SA-2 EE1* Engine Escalation/Engine Warranty and Patent Indemnity


 
SWA-PA-03729 SA-25 Page 2 BOEING PROPRIETARY SLP1* Service Life Policy Components LETTER AGREEMENTS TITLES SWA-PA-03729-LA-1106463R3 Open Matters SA-8 SWA-PA-03729-LA-1106464* SWA-PA-03729-LA-1106465* SWA-PA-03729-LA-1106466 SWA-PA-03729-LA-1106467R3 SA-20 SWA-PA-03729-LA-1106468* SWA-PA-03729-LA-1106469R1 SA-2 SWA-PA-03729-LA-1106470R1 SA-2 SWA-PA-03729-LA-1106471R2 Substitute Aircraft SA-12 SWA-PA-03729-LA-1106473R4 SA-24 SWA-PA-03729-LA-1106474R8 Option Aircraft SA-20 Attachment 1-A Original Option Aircraft SA-25 Attachment 1-B 2020 Option Aircraft SA-25 Attachment 1-C 2021 Option Aircraft SA-25 Attachment 1-D 2023 Option Aircraft SA-25 SWA-PA-03729-LA-1106475R7 SA-24 SWA-PA-03729-LA-1106476R2 SA-8 SWA-PA-03729-LA-1106477R1 SA-20 SWA-PA-03729-LA-1106478 SWA-PA-03729-LA-1106479R1 SA-2 SWA-PA-03729-LA-1106480R1 SA-2 SWA-PA-03729-LA-1106481R2 SA-2 [***] [***] [***] [***] [***] [***] [***] [***] [***] [***] [***] [***] [***] [***] [***]


 
SWA-PA-03729 SA-25 Page 3 BOEING PROPRIETARY LETTER AGREEMENTS TITLES SWA-PA-03729-LA-1106482* SWA-PA-03729-LA-1106483* SWA-PA-03729-LA-1106484R3 SA-16 SWA-PA-03729-LA-1106485* SWA-PA-03729-LA-1209080 SA-1 SWA-PA-03729-LA-1210419 SA-1 SWA-PA-03729-LA-1300943 SA-2 SWA-PA-03729-LA-1301168R3 SA-6 SWA-PA-03729-LA-1301170R4 SA-20 SWA-PA-03729-LA-1400371 SA-7 SWA-PA-03729-LA-1503792 Service Ready Operational Validation SA-6 SWA-PA-03729-LA-1500831 SA-7 SWA-PA-03729-LA-1602486R1 SA-12 SWA-PA-03729-LA-2100594R1 737-8 Remarket Production Aircraft SA-17 SWA-PA-03729-LA-2100700R1 737-8 Configuration Matters – Remarket Production Aircraft SA-17 SWA-PA-03729-LA-2100811 SA-12 SWA-PA-03729-LA-2100812R2 SA-20 and SWA-PA-03729-LA-2100813 SA-12 SWA-PA-03729-LA-2100814R2 SA-20 SWA-PA-03729-LA-2100819 SA-12 SWA-PA-03729-LA-2100825R2 SA-20 SWA-PA-03729-LA-2100841 SA-12 [***] [***] [***] [***] [***] [***] [***] [***] [***] [***] [***] [***] [***] [***] [***] [***] [***] [***] [***] [***]


 
SWA-PA-03729 SA-25 Page 4 BOEING PROPRIETARY LETTER AGREEMENTS TITLES SWA-PA-03729-LA-2100984R1 SA-20 SWA-PA-03729-LA-2103755 2022/2023 Production Plan SA-16 SWA-PA-03729-LA-2202855R7 2023-2026 MAX Production Plan SA-25 SWA-PA-03729-LA-2304184 SA-20 SWA-PA-03729-LA-2307230 SA-21 SWA-PA-03729-LA-2400908 SA-22 * Denotes revision to Page 1 or Page 2 only to reference 737-7 (SA-2) INACTIVE / DELETED TABLES, EXHIBITS, AND LETTER AGREEMENTS RESTRICTED LETTER AGREEMENTS Letter Agreement Title Last Updated under SA Current Status SWA-PA-03729- LA-1106472R1 SA-2 Deleted under SA-4 SWA-PA- 01810/03729-LA- 1301169 SA-2 Deleted under SA-4 [***] [***] [***] [***] [***] [***]


 
Table 1A To Purchase Agreement No. PA-03729 Aircraft Delivery, Description, Price and Advance Payments 737-8 Aircraft Airframe Model/MTOW: 737-8 181,200 pounds Detail Specification: D019A008-P (5/1/2017) Engine Model/Thrust: CFMLEAP-1B28(2) 27,900 pounds Airframe Price Base Year/Escalation Formula: Jul-11 Non-Standard Airframe Price: [***] Engine Price Base Year/Escalation Formula: N/A N/A Optional Features: [***] Sub-Total of Airframe and Features: [***] Airframe Escalation Data: Engine Price (Per Aircraft): [***] Base Year Index (ECI): [***] Aircraft Basic Price (Excluding BFE/SPE): [***] Base Year Index (CPI): [***] Buyer Furnished Equipment (BFE) Estimate: [***] Seller Purchased Equipment (SPE) Estimate: [***] Deposit per Aircraft: [***] Invoice Escalation Manufacturer Escalation Estimate Aircraft (Amts. Due/Mos. Prior to Delivery): Delivery Escalation Number of Factor *(3.3) Serial Escalation Adv Payment Base At Signing 24 Mos. 21/18/12/9/6 Mos. Total Date*(1)(4) Date *(3.2) Aircraft (Airframe) Number*(2) Factor [***] Notes Price Per A/P [***] [***] [***] [***] Jul-2017 [***] 1 [***] 36929 [***] [***] Note 1 [***] [***] [***] [***] [***] Jul-2017 [***] 1 [***] 42558 [***] [***] Note 1 [***] [***] [***] [***] [***] Jul-2017 [***] 1 [***] 42559 [***] [***] Note 1 [***] [***] [***] [***] [***] Aug-2017 [***] 1 [***] 36979 [***] [***] Note 1 [***] [***] [***] [***] [***] Aug-2017 [***] 1 [***] 36930 [***] [***] Note 1 [***] [***] [***] [***] [***] Aug-2017 [***] 1 [***] 36984 [***] [***] Note 1 [***] [***] [***] [***] [***] Aug-2017 [***] 1 [***] 42567 [***] [***] Note 1 [***] [***] [***] [***] [***] Aug-2017 [***] 1 [***] 42563 [***] [***] Note 1 [***] [***] [***] [***] [***] Aug-2017 [***] 1 [***] 42566 [***] [***] Note 1 [***] [***] [***] [***] [***] Sep-2017 [***] 1 [***] 36934 [***] [***] Note 1 [***] [***] [***] [***] [***] Oct-2017 [***] 1 [***] 42544 [***] [***] [***] [***] [***] [***] [***] Oct-2017 [***] 1 [***] 42570 [***] [***] [***] [***] [***] [***] [***] Nov-2017 [***] 1 [***] 36988 [***] [***] [***] [***] [***] [***] [***] Dec-2017 [***] 1 [***] 42554 [***] [***] [***] [***] [***] [***] [***] Mar-2018 [***] 1 [***] 36989 [***] [***] [***] [***] [***] [***] [***] Mar-2018 [***] 1 [***] 42571 [***] [***] [***] [***] [***] [***] [***] Apr-2018 [***] 1 [***] 42546 [***] [***] [***] [***] [***] [***] [***] Jun-2018 [***] 1 [***] 42572 [***] [***] [***] [***] [***] [***] [***] Jun-2018 [***] 1 [***] 42547 [***] [***] [***] [***] [***] [***] [***] Aug-2018 [***] 3 [***] 42548, 37019, 42549 [***] [***] [***] [***] [***] [***] [***] Aug-2018 [***] 1 [***] 42574 [***] [***] [***] [***] [***] [***] [***] Aug-2018 [***] 1 [***] 42575 [***] [***] [***] [***] [***] [***] [***] Sep-2018 [***] 2 [***] 42573, 42576 [***] [***] [***] [***] [***] [***] [***] Dec-2018 [***] 1 [***] 42577 [***] [***] [***] [***] [***] [***] [***] Dec-2018 [***] 4 [***] 37042, 42550, 42551, 37043 [***] [***] [***] [***] [***] [***] [***] Feb-2021 [***] 1 [***] 42633 [***] [***] [***] [***] [***] [***] [***] Feb-2021 [***] 2 [***] 65437, 65436 [***] [***] [***] [***] [***] [***] [***] SWA-PA-03729 107813 / 108198 / 108732 Boeing Proprietary SA-25 Page 1


 
Table 1A To Purchase Agreement No. PA-03729 Aircraft Delivery, Description, Price and Advance Payments 737-8 Aircraft Invoice Escalation Manufacturer Escalation Estimate Aircraft (Amts. Due/Mos. Prior to Delivery): Delivery Escalation Number of Factor *(3.3) Serial Escalation Adv Payment Base At Signing 24 Mos. 21/18/12/9/6 Mos. Total Date*(1)(4) Date *(3.2) Aircraft (Airframe) Number*(2) Factor [***] Notes Price Per A/P [***] [***] [***] [***] Feb-2021 [***] 1 [***] 42634 [***] [***] [***] [***] [***] [***] [***] Feb-2021 [***] 1 [***] 36722 [***] [***] [***] [***] [***] [***] [***] Feb-2021 [***] 1 [***] 42537 [***] [***] [***] [***] [***] [***] [***] Mar-2021 [***] 1 [***] 42641 [***] [***] [***] [***] [***] [***] [***] Mar-2021 [***] 1 [***] 65471 [***] [***] [***] [***] [***] [***] [***] Mar-2021 [***] 1 [***] 42637 [***] [***] [***] [***] [***] [***] [***] Mar-2021 [***] 1 [***] 65438 [***] [***] [***] [***] [***] [***] [***] Mar-2021 [***] 2 [***] 42647, 42661 [***] [***] [***] [***] [***] [***] [***] Mar-2021 [***] 1 [***] 65439 [***] [***] [***] [***] [***] [***] [***] Mar-2021 [***] 1 [***] 65440 [***] [***] [***] [***] [***] [***] [***] Apr-2021 [***] 2 [***] 42646, 42662 [***] [***] [***] [***] [***] [***] [***] Apr-2021 [***] 1 [***] 42536 [***] [***] [***] [***] [***] [***] [***] Apr-2021 [***] 1 [***] 42664 [***] [***] [***] [***] [***] [***] [***] Apr-2021 [***] 1 [***] 65473 [***] [***] [***] [***] [***] [***] [***] Mar-2022 [***] 1 [***] 67206 [***] [***] Note 6 [***] [***] [***] [***] [***] Mar-2022 [***] 1 [***] 67205 [***] [***] Note 6 [***] [***] [***] [***] [***] Mar-2022 [***] 1 [***] 67207 [***] [***] Note 6 [***] [***] [***] [***] [***] Mar-2022 [***] 1 [***] 67208 [***] [***] Note 6 [***] [***] [***] [***] [***] Mar-2022 [***] 1 [***] 67209 [***] [***] Note 6 [***] [***] [***] [***] [***] Apr-2022 [***] 1 [***] 67216 [***] [***] Note 6 [***] [***] [***] [***] [***] Apr-2022 [***] 1 [***] 67214 [***] [***] Note 6 [***] [***] [***] [***] [***] Apr-2022 [***] 1 [***] 67213 [***] [***] Note 6 [***] [***] [***] [***] [***] Apr-2022 [***] 1 [***] 67212 [***] [***] Note 6 [***] [***] [***] [***] [***] Apr-2022 [***] 1 [***] 67211 [***] [***] Note 6 [***] [***] [***] [***] [***] Apr-2022 [***] 1 [***] 67210 [***] [***] Note 6 [***] [***] [***] [***] [***] Apr-2022 [***] 1 [***] 67215 [***] [***] Note 6 [***] [***] [***] [***] [***] May-2022 [***] 1 [***] 60223 [***] [***] Note 6 [***] [***] [***] [***] [***] May-2022 [***] 1 [***] 67217 [***] [***] Note 6 [***] [***] [***] [***] [***] May-2022 [***] 1 [***] 67218 [***] [***] Note 6 [***] [***] [***] [***] [***] Jun-2022 [***] 1 [***] 60226 [***] [***] Note 6 [***] [***] [***] [***] [***] Jun-2022 [***] 1 [***] 60225 [***] [***] Note 6 [***] [***] [***] [***] [***] Jun-2022 [***] 1 [***] 67520 [***] [***] Note 6 [***] [***] [***] [***] [***] Jun-2022 [***] 1 [***] 67521 [***] [***] Note 6 [***] [***] [***] [***] [***] Jun-2022 [***] 1 [***] 67514 [***] [***] Note 6 [***] [***] [***] [***] [***] Jun-2022 [***] 1 [***] 67518 [***] [***] Note 6 [***] [***] [***] [***] [***] Jun-2022 [***] 1 [***] 67519 [***] [***] Note 6 [***] [***] [***] [***] [***] Jun-2022 [***] 1 [***] 67517 [***] [***] Note 6 [***] [***] [***] [***] [***] Jun-2022 [***] 1 [***] 67516 [***] [***] Note 6 [***] [***] [***] [***] [***] SWA-PA-03729 107813 / 108198 / 108732 Boeing Proprietary SA-25 Page 2


 
Table 1A To Purchase Agreement No. PA-03729 Aircraft Delivery, Description, Price and Advance Payments 737-8 Aircraft Invoice Escalation Manufacturer Escalation Estimate Aircraft (Amts. Due/Mos. Prior to Delivery): Delivery Escalation Number of Factor *(3.3) Serial Escalation Adv Payment Base At Signing 24 Mos. 21/18/12/9/6 Mos. Total Date*(1)(4) Date *(3.2) Aircraft (Airframe) Number*(2) Factor [***] Notes Price Per A/P [***] [***] [***] [***] Jun-2022 [***] 1 [***] 67513 [***] [***] Note 6 [***] [***] [***] [***] [***] Jun-2022 [***] 1 [***] 67515 [***] [***] Note 6 [***] [***] [***] [***] [***] Jun-2022 [***] 1 [***] 60649 [***] [***] Note 6 [***] [***] [***] [***] [***] Jul-2022 [***] 1 [***] 60652 [***] [***] Note 6 [***] [***] [***] [***] [***] Jul-2022 [***] 1 [***] 60653 [***] [***] Note 6 [***] [***] [***] [***] [***] Jul-2022 [***] 1 [***] 67753 [***] [***] Note 8 [***] [***] [***] [***] [***] Jul-2022 [***] 1 [***] 67754 [***] [***] Note 8 [***] [***] [***] [***] [***] Jul-2022 [***] 1 [***] 67755 [***] [***] Note 8 [***] [***] [***] [***] [***] Jul-2022 [***] 1 [***] 67756 [***] [***] Note 8 [***] [***] [***] [***] [***] Jul-2022 [***] 1 [***] 67757 [***] [***] Note 8 [***] [***] [***] [***] [***] Jul-2022 [***] 1 [***] 67758 [***] [***] Note 8 [***] [***] [***] [***] [***] Jul-2022 [***] 1 [***] 67759 [***] [***] Note 8 [***] [***] [***] [***] [***] Jul-2022 [***] 1 [***] 67762 [***] [***] Note 8 [***] [***] [***] [***] [***] Jul-2022 [***] 1 [***] 67760 [***] [***] Note 8 [***] [***] [***] [***] [***] Jul-2022 [***] 1 [***] 67761 [***] [***] Note 8 [***] [***] [***] [***] [***] Aug-2022 [***] 1 [***] 60187 [***] [***] Note 6 [***] [***] [***] [***] [***] Aug-2022 [***] 1 [***] 60188 [***] [***] Note 6 [***] [***] [***] [***] [***] Aug-2022 [***] 1 [***] 60186 [***] [***] Note 6 [***] [***] [***] [***] [***] Aug-2022 [***] 1 [***] 67775 [***] [***] Note 6 [***] [***] [***] [***] [***] Aug-2022 [***] 1 [***] 67774 [***] [***] Note 6 [***] [***] [***] [***] [***] Aug-2022 [***] 1 [***] 67773 [***] [***] Note 6 [***] [***] [***] [***] [***] Aug-2022 [***] 1 [***] 67782 [***] [***] Note 8 [***] [***] [***] [***] [***] Aug-2022 [***] 1 [***] 67781 [***] [***] Note 8 [***] [***] [***] [***] [***] Aug-2022 [***] 1 [***] 67780 [***] [***] Note 8 [***] [***] [***] [***] [***] Aug-2022 [***] 1 [***] 67779 [***] [***] Note 8 [***] [***] [***] [***] [***] Aug-2022 [***] 1 [***] 67778 [***] [***] Note 8 [***] [***] [***] [***] [***] Aug-2022 [***] 1 [***] 67777 [***] [***] Note 8 [***] [***] [***] [***] [***] Aug-2022 [***] 1 [***] 67776 [***] [***] Note 8 [***] [***] [***] [***] [***] Sep-2022 [***] 1 [***] 60219 [***] [***] Note 6 [***] [***] [***] [***] [***] Sep-2022 [***] 1 [***] 67480 [***] [***] Note 5 [***] [***] [***] [***] [***] Sep-2022 [***] 1 [***] 67479 [***] [***] Note 5 [***] [***] [***] [***] [***] Sep-2022 [***] 1 [***] 67477 [***] [***] Note 5 [***] [***] [***] [***] [***] Sep-2022 [***] 1 [***] 67476 [***] [***] Note 5 [***] [***] [***] [***] [***] Sep-2022 [***] 1 [***] 67473 [***] [***] Note 5 [***] [***] [***] [***] [***] Sep-2022 [***] 1 [***] 67472 [***] [***] Note 5 [***] [***] [***] [***] [***] Sep-2022 [***] 1 [***] 67478 [***] [***] Note 5 [***] [***] [***] [***] [***] Sep-2022 [***] 1 [***] 67475 [***] [***] Note 5 [***] [***] [***] [***] [***] Sep-2022 [***] 1 [***] 42598 [***] [***] Note 5 [***] [***] [***] [***] [***] SWA-PA-03729 107813 / 108198 / 108732 Boeing Proprietary SA-25 Page 3


 
Table 1A To Purchase Agreement No. PA-03729 Aircraft Delivery, Description, Price and Advance Payments 737-8 Aircraft Invoice Escalation Manufacturer Escalation Estimate Aircraft (Amts. Due/Mos. Prior to Delivery): Delivery Escalation Number of Factor *(3.3) Serial Escalation Adv Payment Base At Signing 24 Mos. 21/18/12/9/6 Mos. Total Date*(1)(4) Date *(3.2) Aircraft (Airframe) Number*(2) Factor [***] Notes Price Per A/P [***] [***] [***] [***] Sep-2022 [***] 1 [***] 67474 [***] [***] Note 5 [***] [***] [***] [***] [***] Oct-2022 [***] 1 [***] 67481 [***] [***] Note 5 [***] [***] [***] [***] [***] Oct-2022 [***] 1 [***] 67487 [***] [***] Note 5 [***] [***] [***] [***] [***] Oct-2022 [***] 1 [***] 67785 [***] [***] Note 6 [***] [***] [***] [***] [***] Oct-2022 [***] 1 [***] 67784 [***] [***] Note 6 [***] [***] [***] [***] [***] Oct-2022 [***] 1 [***] 67783 [***] [***] Note 6 [***] [***] [***] [***] [***] Jan-2023 [***] 1 [***] 67512 [***] [***] Note 6 [***] [***] [***] [***] [***] Jan-2023 [***] 1 [***] 67485 [***] [***] Note 5 [***] [***] [***] [***] [***] Jan-2023 [***] 1 [***] 67484 [***] [***] Note 5 [***] [***] [***] [***] [***] Jan-2023 [***] 1 [***] 67482 [***] [***] Note 5 [***] [***] [***] [***] [***] Jan-2023 [***] 1 [***] 67752 [***] [***] Note 5 [***] [***] [***] [***] [***] Jan-2023 [***] 1 [***] 67486 [***] [***] Note 5 [***] [***] [***] [***] [***] Jan-2023 [***] 1 [***] 67751 [***] [***] Note 5 [***] [***] [***] [***] [***] Jan-2023 [***] 1 [***] 67750 [***] [***] Note 5 [***] [***] [***] [***] [***] Jan-2023 [***] 1 [***] 67483 [***] [***] Note 5 [***] [***] [***] [***] [***] Jan-2023 [***] 1 [***] 67493 [***] [***] Note 5 [***] [***] [***] [***] [***] Jan-2023 [***] 1 [***] 67489 [***] [***] Note 5 [***] [***] [***] [***] [***] Jan-2023 [***] 1 [***] 67793 [***] [***] Note 5 [***] [***] [***] [***] [***] Feb-2023 [***] 1 [***] 60650 [***] [***] Note 6 [***] [***] [***] [***] [***] Feb-2023 [***] 1 [***] 67492 [***] [***] Note 5 [***] [***] [***] [***] [***] Feb-2023 [***] 1 [***] 67490 [***] [***] Note 5 [***] [***] [***] [***] [***] Feb-2023 [***] 1 [***] 67491 [***] [***] Note 5 [***] [***] [***] [***] [***] Feb-2023 [***] 1 [***] 67488 [***] [***] Note 5 [***] [***] [***] [***] [***] Mar-2023 [***] 1 [***] 67794 [***] [***] Note 5 [***] [***] [***] [***] [***] Mar-2023 [***] 1 [***] 67795 [***] [***] Note 5 [***] [***] [***] [***] [***] Mar-2023 [***] 1 [***] 42600 [***] [***] Note 5 [***] [***] [***] [***] [***] Mar-2023 [***] 1 [***] 67786 [***] [***] Note 6 [***] [***] [***] [***] [***] Mar-2023 [***] 1 [***] 67826 [***] [***] Note 5 [***] [***] [***] [***] [***] Mar-2023 [***] 1 [***] 67825 [***] [***] Note 5 [***] [***] [***] [***] [***] Mar-2023 [***] 1 [***] 42591 [***] [***] Note 5 [***] [***] [***] [***] [***] Mar-2023 [***] 1 [***] 67498 [***] [***] Note 5 [***] [***] [***] [***] [***] Mar-2023 [***] 1 [***] 67497 [***] [***] Note 5 [***] [***] [***] [***] [***] Mar-2023 [***] 1 [***] 67496 [***] [***] Note 5 [***] [***] [***] [***] [***] Mar-2023 [***] 1 [***] 67495 [***] [***] Note 5 [***] [***] [***] [***] [***] Mar-2023 [***] 1 [***] 67471 [***] [***] Note 5 [***] [***] [***] [***] [***] Mar-2023 [***] 1 [***] 67494 [***] [***] Note 5 [***] [***] [***] [***] [***] Apr-2023 [***] 1 [***] 67787 [***] [***] Note 6 [***] [***] [***] [***] [***] Apr-2023 [***] 1 [***] 42657 [***] [***] Note 7 [***] [***] [***] [***] [***] SWA-PA-03729 107813 / 108198 / 108732 Boeing Proprietary SA-25 Page 4


 
Table 1A To Purchase Agreement No. PA-03729 Aircraft Delivery, Description, Price and Advance Payments 737-8 Aircraft Invoice Escalation Manufacturer Escalation Estimate Aircraft (Amts. Due/Mos. Prior to Delivery): Delivery Escalation Number of Factor *(3.3) Serial Escalation Adv Payment Base At Signing 24 Mos. 21/18/12/9/6 Mos. Total Date*(1)(4) Date *(3.2) Aircraft (Airframe) Number*(2) Factor [***] Notes Price Per A/P [***] [***] [***] [***] Apr-2023 [***] 1 [***] 42671 [***] [***] Note 7 [***] [***] [***] [***] [***] May-2023 [***] 1 [***] 67470 [***] [***] Note 5 [***] [***] [***] [***] [***] May-2023 [***] 1 [***] 67865 [***] [***] Note 7 [***] [***] [***] [***] [***] May-2023 [***] 1 [***] 67864 [***] [***] Note 7 [***] [***] [***] [***] [***] May-2023 [***] 1 [***] 67863 [***] [***] Note 7 [***] [***] [***] [***] [***] May-2023 [***] 1 [***] 67862 [***] [***] Note 7 [***] [***] [***] [***] [***] May-2023 [***] 1 [***] 67861 [***] [***] Note 7 [***] [***] [***] [***] [***] May-2023 [***] 1 [***] 67860 [***] [***] Note 7 [***] [***] [***] [***] [***] May-2023 [***] 1 [***] 67859 [***] [***] Note 7 [***] [***] [***] [***] [***] May-2023 [***] 1 [***] 67858 [***] [***] Note 7 [***] [***] [***] [***] [***] May-2023 [***] 1 [***] 42679 [***] [***] Note 7 [***] [***] [***] [***] [***] May-2023 [***] 1 [***] 67915 [***] [***] Note 7 [***] [***] [***] [***] [***] Jun-2023 [***] 1 [***] 42678 [***] [***] Note 7 [***] [***] [***] [***] [***] Jun-2023 [***] 1 [***] 42688 [***] [***] Note 7 [***] [***] [***] [***] [***] Jun-2023 [***] 1 [***] 67918 [***] [***] Note 7 [***] [***] [***] [***] [***] Jun-2023 [***] 1 [***] 67917 [***] [***] Note 7 [***] [***] [***] [***] [***] Jun-2023 [***] 1 [***] 42681 [***] [***] Note 7 [***] [***] [***] [***] [***] Jun-2023 [***] 1 [***] 42680 [***] [***] Note 7 [***] [***] [***] [***] [***] Jun-2023 [***] 1 [***] 67967 [***] [***] Note 7 [***] [***] [***] [***] [***] Jul-2023 [***] 1 [***] 67919 [***] [***] Note 7 [***] [***] [***] [***] [***] Jul-2023 [***] 1 [***] 67913 [***] [***] Note 7 [***] [***] [***] [***] [***] Jul-2023 [***] 1 [***] 42684 [***] [***] Note 7 [***] [***] [***] [***] [***] Jul-2023 [***] 1 [***] 67966 [***] [***] Note 7 [***] [***] [***] [***] [***] Jul-2023 [***] 1 [***] 67965 [***] [***] Note 7 [***] [***] [***] [***] [***] Jul-2023 [***] 1 [***] 42683 [***] [***] Note 7 [***] [***] [***] [***] [***] Jul-2023 [***] 1 [***] 68047 [***] [***] Note 7 [***] [***] [***] [***] [***] Aug-2023 [***] 1 [***] 67916 [***] [***] Note 7 [***] [***] [***] [***] [***] Aug-2023 [***] 1 [***] 67914 [***] [***] Note 7 [***] [***] [***] [***] [***] Aug-2023 [***] 1 [***] 67964 [***] [***] Note 7 [***] [***] [***] [***] [***] Aug-2023 [***] 1 [***] 67962 [***] [***] Note 7 [***] [***] [***] [***] [***] Aug-2023 [***] 1 [***] 42687 [***] [***] Note 7 [***] [***] [***] [***] [***] Aug-2023 [***] 1 [***] 68046 [***] [***] Note 7 [***] [***] [***] [***] [***] Aug-2023 [***] 1 [***] 68118 [***] [***] Note 7 [***] [***] [***] [***] [***] Aug-2023 [***] 1 [***] 68119 [***] [***] Note 7 [***] [***] [***] [***] [***] Sep-2023 [***] 1 [***] 67961 [***] [***] Note 7 [***] [***] [***] [***] [***] Sep-2023 [***] 1 [***] 42685 [***] [***] Note 7 [***] [***] [***] [***] [***] Sep-2023 [***] 1 [***] 68117 [***] [***] Note 7 [***] [***] [***] [***] [***] Oct-2023 [***] 1 [***] 42560 [***] [***] Note 9 [***] [***] [***] [***] [***] SWA-PA-03729 107813 / 108198 / 108732 Boeing Proprietary SA-25 Page 5


 
Table 1A To Purchase Agreement No. PA-03729 Aircraft Delivery, Description, Price and Advance Payments 737-8 Aircraft Invoice Escalation Manufacturer Escalation Estimate Aircraft (Amts. Due/Mos. Prior to Delivery): Delivery Escalation Number of Factor *(3.3) Serial Escalation Adv Payment Base At Signing 24 Mos. 21/18/12/9/6 Mos. Total Date*(1)(4) Date *(3.2) Aircraft (Airframe) Number*(2) Factor [***] Notes Price Per A/P [***] [***] [***] [***] Oct-2023 [***] 1 [***] 42690 [***] [***] Note 7 [***] [***] [***] [***] [***] Nov-2023 [***] 1 [***] 68048 [***] [***] Note 7 [***] [***] [***] [***] [***] Nov-2023 [***] 1 [***] 68120 [***] [***] Note 7 [***] [***] [***] [***] [***] Nov-2023 [***] 1 [***] 67963 [***] [***] Note 7 [***] [***] [***] [***] [***] Nov-2023 [***] 1 [***] 68050 [***] [***] Note 7 [***] [***] [***] [***] [***] Nov-2023 [***] 1 [***] 68184 [***] [***] Note 9 [***] [***] [***] [***] [***] Nov-2023 [***] 1 [***] 67469 [***] [***] Note 9 [***] [***] [***] [***] [***] Nov-2023 [***] 1 [***] 42555 [***] [***] Note 9 [***] [***] [***] [***] [***] Dec-2023 [***] 1 [***] 68051 [***] [***] Note 7 [***] [***] [***] [***] [***] Dec-2023 [***] 1 [***] 68049 [***] [***] Note 7 [***] [***] [***] [***] [***] Dec-2023 [***] 1 [***] 42686 [***] [***] Note 7 [***] [***] [***] [***] [***] Dec-2023 [***] 1 [***] 42682 [***] [***] Note 7 [***] [***] [***] [***] [***] Dec-2023 [***] 1 [***] 42695 [***] [***] Note 9 [***] [***] [***] [***] [***] Dec-2023 [***] 1 [***] 68183 [***] [***] Note 9 [***] [***] [***] [***] [***] Dec-2023 [***] 1 [***] 42689 [***] [***] Note 9 [***] [***] [***] [***] [***] Dec-2023 [***] 1 [***] 42557 [***] [***] Note 9 [***] [***] [***] [***] [***] Jan-2024 [***] 1 [***] 42562 [***] [***] Note 9 [***] [***] [***] [***] [***] Jan-2024 [***] 1 [***] 68206 [***] [***] Note 9 [***] [***] [***] [***] [***] Feb-2024 [***] 1 [***] 68207 [***] [***] Note 9 [***] [***] [***] [***] [***] Feb-2024 [***] 1 [***] 42693 [***] [***] Note 9 [***] [***] [***] [***] [***] Mar-2024 [***] 1 [***] 42581 [***] [***] Note 9 [***] [***] [***] [***] [***] Jan-2024 [***] 1 [***] 42565 [***] [***] Note 9 [***] [***] [***] [***] [***] Jan-2024 [***] 1 [***] 42564 [***] [***] Note 9 [***] [***] [***] [***] [***] Feb-2024 [***] 1 [***] 68360 [***] [***] Note 10 [***] [***] [***] [***] [***] Jan-2024 [***] 1 [***] 68052 [***] [***] Note 7 [***] [***] [***] [***] [***] Jan-2024 [***] 1 [***] 42582 [***] [***] Note 10 [***] [***] [***] [***] [***] Jan-2024 [***] 1 [***] 42568 [***] [***] Note 9 [***] [***] [***] [***] [***] Mar-2024 [***] 1 [***] 42578 [***] [***] Note 10 [***] [***] [***] [***] [***] Feb-2024 [***] 1 [***] 68381 [***] [***] Note 10 [***] [***] [***] [***] [***] Feb-2024 [***] 1 [***] 68359 [***] [***] Note 10 [***] [***] [***] [***] [***] Jan-2024 [***] 1 [***] 68116 [***] [***] Note 7 [***] [***] [***] [***] [***] Jan-2024 [***] 1 [***] 42594 [***] [***] Note 9 [***] [***] [***] [***] [***] Mar-2024 [***] 1 [***] 42601 [***] [***] Note 10 [***] [***] [***] [***] [***] Mar-2024 [***] 1 [***] 42593 [***] [***] Note 10 [***] [***] [***] [***] [***] Apr-2024 [***] 1 [***] 42605 [***] [***] Note 10 [***] [***] [***] [***] [***] Mar-2024 [***] 1 [***] 68382 [***] [***] Note 10 [***] [***] [***] [***] [***] Apr-2024 [***] 1 [***] 68458 [***] [***] Note 10 [***] [***] [***] [***] [***] Feb-2024 [***] 1 [***] 42597 [***] [***] Note 10 [***] [***] [***] [***] [***] SWA-PA-03729 107813 / 108198 / 108732 Boeing Proprietary SA-25 Page 6


 
Table 1A To Purchase Agreement No. PA-03729 Aircraft Delivery, Description, Price and Advance Payments 737-8 Aircraft Invoice Escalation Manufacturer Escalation Estimate Aircraft (Amts. Due/Mos. Prior to Delivery): Delivery Escalation Number of Factor *(3.3) Serial Escalation Adv Payment Base At Signing 24 Mos. 21/18/12/9/6 Mos. Total Date*(1)(4) Date *(3.2) Aircraft (Airframe) Number*(2) Factor [***] Notes Price Per A/P [***] [***] [***] [***] Apr-2024 [***] 1 [***] 68628 [***] [***] Note 10 [***] [***] [***] [***] [***] Apr-2024 [***] 1 [***] 68457 [***] [***] Note 10 [***] [***] [***] [***] [***] Apr-2024 [***] 1 [***] 68459 [***] [***] Note 10 [***] [***] [***] [***] [***] May-2024 [***] 1 [***] 42585 [***] [***] Note 10 [***] [***] [***] [***] [***] May-2024 [***] 1 [***] 42584 [***] [***] Note 10 [***] [***] [***] [***] [***] May-2024 [***] 1 [***] 68627 [***] [***] Note 10 [***] [***] [***] [***] [***] May-2024 [***] 1 [***] 42611 [***] [***] Note 10 [***] [***] [***] [***] [***] May-2024 [***] 1 [***] 42583 [***] [***] Note 10 [***] [***] [***] [***] [***] May-2024 [***] 1 [***] 68626 [***] [***] Note 10 [***] [***] [***] [***] [***] Jun-2024 [***] 1 [***] 68633 [***] [***] Note 10 [***] [***] [***] [***] [***] Jun-2024 [***] 1 [***] 42599 [***] [***] Note 10 [***] [***] [***] [***] [***] Jun-2024 [***] 1 [***] 68632 [***] [***] Note 10 [***] [***] [***] [***] [***] Jun-2024 [***] 1 [***] 68631 [***] [***] Note 10 [***] [***] [***] [***] [***] Jun-2024 [***] 1 [***] 68630 [***] [***] Note 10 [***] [***] [***] [***] [***] Jun-2024 [***] 1 [***] 68629 [***] [***] Note 10 [***] [***] [***] [***] [***] Jun-2024 [***] 1 [***] 42596 [***] [***] Note 10 [***] [***] [***] [***] [***] Jun-2024 [***] 1 [***] 42612 [***] [***] Note 10 [***] [***] [***] [***] [***] Jun-2024 [***] 1 [***] 68891 [***] [***] Note 10 [***] [***] [***] [***] [***] Jul-2024 [***] 1 [***] 42606 [***] [***] Note 10 [***] [***] [***] [***] [***] Jul-2024 [***] 1 [***] 68890 [***] [***] Note 10 [***] [***] [***] [***] [***] Jul-2024 [***] 1 [***] 42617 [***] [***] Note 10 [***] [***] [***] [***] [***] Jul-2024 [***] 1 [***] 68892 [***] [***] Note 10 [***] [***] [***] [***] [***] Jul-2024 [***] 1 [***] 68893 [***] [***] Note 10 [***] [***] [***] [***] [***] Jul-2024 [***] 1 [***] 68894 [***] [***] Note 10 [***] [***] [***] [***] [***] Jul-2024 [***] 1 [***] 68927 [***] [***] Note 10 [***] [***] [***] [***] [***] Aug-2024 [***] 1 [***] 42608 [***] [***] Note 10 [***] [***] [***] [***] [***] Aug-2024 [***] 1 [***] 42619 [***] [***] Note 10 [***] [***] [***] [***] [***] Aug-2024 [***] 1 [***] 42622 [***] [***] Note 10 [***] [***] [***] [***] [***] Aug-2024 [***] 1 [***] 68925 [***] [***] Note 10 [***] [***] [***] [***] [***] Aug-2024 [***] 1 [***] 68926 [***] [***] Note 10 [***] [***] [***] [***] [***] Nov-2024 [***] 1 [***] 68928 [***] [***] Note 10 [***] [***] [***] [***] [***] Nov-2024 [***] 1 [***] 68929 [***] [***] Note 10 [***] [***] [***] [***] [***] Nov-2024 [***] 1 [***] 68931 [***] [***] Note 10 [***] [***] [***] [***] [***] Nov-2024 [***] 1 [***] 42610 [***] [***] Note 10 [***] [***] [***] [***] [***] Nov-2024 [***] 1 [***] 42626 [***] [***] Note 10 [***] [***] [***] [***] [***] Nov-2024 [***] 1 [***] 68932 [***] [***] Note 10 [***] [***] [***] [***] [***] Jan-2025 [***] 1 [***] 42668 [***] [***] Note 11 [***] [***] [***] [***] [***] Jan-2025 [***] 1 [***] 42675 [***] [***] Note 11 [***] [***] [***] [***] [***] SWA-PA-03729 107813 / 108198 / 108732 Boeing Proprietary SA-25 Page 7


 
Table 1A To Purchase Agreement No. PA-03729 Aircraft Delivery, Description, Price and Advance Payments 737-8 Aircraft Invoice Escalation Manufacturer Escalation Estimate Aircraft (Amts. Due/Mos. Prior to Delivery): Delivery Escalation Number of Factor *(3.3) Serial Escalation Adv Payment Base At Signing 24 Mos. 21/18/12/9/6 Mos. Total Date*(1)(4) Date *(3.2) Aircraft (Airframe) Number*(2) Factor [***] Notes Price Per A/P [***] [***] [***] [***] Jan-2025 [***] 1 [***] 36981 [***] [***] Note 11 [***] [***] [***] [***] [***] Jan-2025 [***] 1 [***] 69677 [***] [***] Note 11 [***] [***] [***] [***] [***] Jan-2025 [***] 1 [***] 69678 [***] [***] Note 11 [***] [***] [***] [***] [***] Feb-2025 [***] 1 [***] 36986 [***] [***] Note 11 [***] [***] [***] [***] [***] Feb-2025 [***] 1 [***] 36982 [***] [***] Note 11 [***] [***] [***] [***] [***] Feb-2025 [***] 1 [***] 42677 [***] [***] Note 11 [***] [***] [***] [***] [***] Feb-2025 [***] 1 [***] 42676 [***] [***] Note 11 [***] [***] [***] [***] [***] Feb-2025 [***] 1 [***] 42692 [***] [***] Note 11 [***] [***] [***] [***] [***] Feb-2025 [***] 1 [***] 69915 [***] [***] Note 11 [***] [***] [***] [***] [***] Feb-2025 [***] 1 [***] 67468 [***] [***] Note 11 [***] [***] [***] [***] [***] Mar-2025 [***] 1 [***] 42630 [***] [***] Note 11 [***] [***] [***] [***] [***] Mar-2025 [***] 1 [***] 67325 [***] [***] Note 11 [***] [***] [***] [***] [***] Mar-2025 [***] 1 [***] 67326 [***] [***] Note 11 [***] [***] [***] [***] [***] Mar-2025 [***] 1 [***] 69918 [***] [***] Note 11 [***] [***] [***] [***] [***] Mar-2025 [***] 1 [***] 69922 [***] [***] Note 11 [***] [***] [***] [***] [***] Mar-2025 [***] 1 [***] 42696 [***] [***] Note 11 [***] [***] [***] [***] [***] Mar-2025 [***] 1 [***] 42700 [***] [***] Note 11 [***] [***] [***] [***] [***] Mar-2025 [***] 1 [***] 69919 [***] [***] Note 12 [***] [***] [***] [***] [***] Mar-2025 [***] 1 [***] 42698 [***] [***] Note 12 [***] [***] [***] [***] [***] Mar-2025 [***] 1 [***] 69921 [***] [***] Note 12 [***] [***] [***] [***] [***] Mar-2025 [***] 1 [***] 69920 [***] [***] Note 12 [***] [***] [***] [***] [***] Apr-2025 [***] 1 [***] 36978 [***] [***] Note 12 [***] [***] [***] [***] [***] Apr-2025 [***] 1 [***] 42702 [***] [***] Note 12 [***] [***] [***] [***] [***] Apr-2025 [***] 1 [***] 42701 [***] [***] Note 12 [***] [***] [***] [***] [***] Apr-2025 [***] 1 [***] 67319 [***] [***] Note 12 [***] [***] [***] [***] [***] May-2025 [***] 1 [***] 68933 [***] [***] Note 12 [***] [***] [***] [***] [***] May-2025 [***] 1 [***] 67321 [***] [***] Note 12 [***] [***] [***] [***] [***] May-2025 [***] 1 [***] 67320 [***] [***] Note 12 [***] [***] [***] [***] [***] May-2025 [***] 1 [***] 68934 [***] [***] Note 13 [***] [***] [***] [***] [***] May-2025 [***] 1 [***] 67322 [***] [***] Note 13 [***] [***] [***] [***] [***] Jun-2025 [***] 1 [***] 42624 [***] [***] Note 13 [***] [***] [***] [***] [***] Jun-2025 [***] 1 [***] 67323 [***] [***] Note 13 [***] [***] [***] [***] [***] Jun-2025 [***] 1 [***] 67324 [***] [***] Note 13 [***] [***] [***] [***] [***] Aug-2025 [***] 1 [***] 69010 [***] [***] Note 13 [***] [***] [***] [***] [***] Aug-2025 [***] 1 [***] 67328 [***] [***] Note 13 [***] [***] [***] [***] [***] Aug-2025 [***] 1 [***] 67327 [***] [***] Note 13 [***] [***] [***] [***] [***] Aug-2025 [***] 1 [***] 67339 [***] [***] Note 13 [***] [***] [***] [***] [***] Aug-2025 [***] 1 [***] 67404 [***] [***] Note 13 [***] [***] [***] [***] [***] SWA-PA-03729 107813 / 108198 / 108732 Boeing Proprietary SA-25 Page 8


 
Table 1A To Purchase Agreement No. PA-03729 Aircraft Delivery, Description, Price and Advance Payments 737-8 Aircraft Invoice Escalation Manufacturer Escalation Estimate Aircraft (Amts. Due/Mos. Prior to Delivery): Delivery Escalation Number of Factor *(3.3) Serial Escalation Adv Payment Base At Signing 24 Mos. 21/18/12/9/6 Mos. Total Date*(1)(4) Date *(3.2) Aircraft (Airframe) Number*(2) Factor [***] Notes Price Per A/P [***] [***] [***] [***] Aug-2025 [***] 1 [***] 69040 [***] [***] Note 13 [***] [***] [***] [***] [***] Sep-2025 [***] 1 [***] 67330 [***] [***] Note 14 [***] [***] [***] [***] [***] Sep-2025 [***] 1 [***] 67329 [***] [***] Note 14 [***] [***] [***] [***] [***] Sep-2025 [***] 1 [***] 69012 [***] [***] Note 14 [***] [***] [***] [***] [***] Oct-2025 [***] 1 [***] 67333 [***] [***] Note 14 [***] [***] [***] [***] [***] Oct-2025 [***] 1 [***] 67331 [***] [***] Note 14 [***] [***] [***] [***] [***] Oct-2025 [***] 1 [***] 67332 [***] [***] Note 14 [***] [***] [***] [***] [***] Oct-2025 [***] 1 [***] 70443 [***] [***] Note 14 [***] [***] [***] [***] [***] Oct-2025 [***] 1 [***] 70543 [***] [***] Note 14 [***] [***] [***] [***] [***] Oct-2025 [***] 1 [***] 70544 [***] [***] Note 14 [***] [***] [***] [***] [***] Oct-2025 [***] 1 [***] 70545 [***] [***] Note 14 [***] [***] [***] [***] [***] Oct-2025 [***] 1 [***] 70546 [***] [***] Note 14 [***] [***] [***] [***] [***] Oct-2025 [***] 1 [***] 70444 [***] [***] Note 14 [***] [***] [***] [***] [***] Nov-2025 [***] 1 [***] 69014 [***] [***] Note 14 [***] [***] [***] [***] [***] Nov-2025 [***] 1 [***] 69015 [***] [***] Note 14 [***] [***] [***] [***] [***] Nov-2025 [***] 1 [***] 42625 [***] [***] Note 14 [***] [***] [***] [***] [***] Nov-2025 [***] 1 [***] 67335 [***] [***] Note 14 [***] [***] [***] [***] [***] Nov-2025 [***] 1 [***] 67334 [***] [***] Note 14 [***] [***] [***] [***] [***] Nov-2025 [***] 1 [***] 70629 [***] [***] Note 14 [***] [***] [***] [***] [***] Nov-2025 [***] 1 [***] 70631 [***] [***] Note 14 [***] [***] [***] [***] [***] Nov-2025 [***] 1 [***] 70633 [***] [***] Note 14 [***] [***] [***] [***] [***] Nov-2025 [***] 1 [***] 69013 [***] [***] Note 14 [***] [***] [***] [***] [***] Nov-2025 [***] 1 [***] 70632 [***] [***] Note 14 [***] [***] [***] [***] [***] Nov-2025 [***] 1 [***] 70634 [***] [***] Note 14 [***] [***] [***] [***] [***] Dec-2025 [***] 1 [***] 67338 [***] [***] Note 14 [***] [***] [***] [***] [***] Dec-2025 [***] 1 [***] 67337 [***] [***] Note 14 [***] [***] [***] [***] [***] Dec-2025 [***] 1 [***] 67336 [***] [***] Note 14 [***] [***] [***] [***] [***] Dec-2025 [***] 1 [***] 70688 [***] [***] Note 14 [***] [***] [***] [***] [***] Dec-2025 [***] 1 [***] 70689 [***] [***] Note 14 [***] [***] [***] [***] [***] Dec-2025 [***] 1 [***] 70690 [***] [***] Note 14 [***] [***] [***] [***] [***] Dec-2025 [***] 1 [***] 42639 [***] [***] Note 14 [***] [***] [***] [***] [***] Dec-2025 [***] 1 [***] 42636 [***] [***] Note 14 [***] [***] [***] [***] [***] Dec-2025 [***] 1 [***] 69036 [***] [***] Note 14 [***] [***] [***] [***] [***] Jan-2026 [***] 1 [***] 69041 [***] [***] Note 14 [***] [***] [***] [***] [***] Jan-2026 [***] 1 [***] 70698 [***] [***] Note 14 [***] [***] [***] [***] [***] Jan-2026 [***] 1 [***] 70630 [***] [***] Note 14 [***] [***] [***] [***] [***] Feb-2026 [***] 1 [***] 67340 [***] [***] Note 14 [***] [***] [***] [***] [***] SWA-PA-03729 107813 / 108198 / 108732 Boeing Proprietary SA-25 Page 9


 
Table 1A To Purchase Agreement No. PA-03729 Aircraft Delivery, Description, Price and Advance Payments 737-8 Aircraft Invoice Escalation Manufacturer Escalation Estimate Aircraft (Amts. Due/Mos. Prior to Delivery): Delivery Escalation Number of Factor *(3.3) Serial Escalation Adv Payment Base At Signing 24 Mos. 21/18/12/9/6 Mos. Total Date*(1)(4) Date *(3.2) Aircraft (Airframe) Number*(2) Factor [***] Notes Price Per A/P [***] [***] [***] [***] Feb-2026 [***] 1 [***] 67405 [***] [***] Note 14 [***] [***] [***] [***] [***] Feb-2026 [***] 1 [***] 69043 [***] [***] Note 14 [***] [***] [***] [***] [***] Feb-2026 [***] 1 [***] 69044 [***] [***] Note 14 [***] [***] [***] [***] [***] Feb-2026 [***] 1 [***] 70687 [***] [***] Note 14 [***] [***] [***] [***] [***] Mar-2026 [***] 1 [***] 42640 [***] [***] Note 14 [***] [***] [***] [***] [***] Mar-2026 [***] 1 [***] 70699 [***] [***] Note 14 [***] [***] [***] [***] [***] Mar-2026 [***] 1 [***] 42628 [***] [***] Note 14 [***] [***] [***] [***] [***] Mar-2026 [***] 1 [***] 67342 [***] [***] Note 14 [***] [***] [***] [***] [***] Mar-2026 [***] 1 [***] 70697 [***] [***] Note 15 [***] [***] [***] [***] [***] Mar-2026 [***] 1 [***] 67341 [***] [***] Note 15 [***] [***] [***] [***] [***] Mar-2026 [***] 1 [***] 67407 [***] [***] Note 15 [***] [***] [***] [***] [***] Mar-2026 [***] 1 [***] 67406 [***] [***] Note 15 [***] [***] [***] [***] [***] Apr-2026 [***] 1 [***] 69426 [***] [***] Note 15 [***] [***] [***] [***] [***] Apr-2026 [***] 1 [***] 67343 [***] [***] Note 15 [***] [***] [***] [***] [***] Apr-2026 [***] 1 [***] 67408 [***] [***] Note 15 [***] [***] [***] [***] [***] Apr-2026 [***] 1 [***] 69431 [***] [***] Note 15 [***] [***] [***] [***] [***] Apr-2026 [***] 1 [***] 69427 [***] [***] Note 15 [***] [***] [***] [***] [***] Apr-2026 [***] 1 [***] 70811 [***] [***] Note 15 [***] [***] [***] [***] [***] Apr-2026 [***] 1 [***] 70812 [***] [***] Note 15 [***] [***] [***] [***] [***] Apr-2026 [***] 1 [***] 70813 [***] [***] Note 15 [***] [***] [***] [***] [***] Apr-2026 [***] 1 [***] 70814 [***] [***] Note 15 [***] [***] [***] [***] [***] May-2026 [***] 1 [***] 42645 [***] [***] Note 15 [***] [***] [***] [***] [***] May-2026 [***] 1 [***] 67344 [***] [***] Note 15 [***] [***] [***] [***] [***] May-2026 [***] 1 [***] 69432 [***] [***] Note 15 [***] [***] [***] [***] [***] May-2026 [***] 1 [***] 67409 [***] [***] Note 15 [***] [***] [***] [***] [***] May-2026 [***] 1 [***] 67410 [***] [***] Note 15 [***] [***] [***] [***] [***] May-2026 [***] 1 [***] 70846 [***] [***] Note 15 [***] [***] [***] [***] [***] Jan-2027 [***] 1 [***] 42666 [***] [***] [***] [***] [***] [***] [***] Jan-2027 [***] 1 [***] 36727 [***] [***] [***] [***] [***] [***] [***] Jan-2027 [***] 1 [***] 42580 [***] [***] [***] [***] [***] [***] [***] Jan-2027 [***] 1 [***] 42541 [***] [***] [***] [***] [***] [***] [***] Feb-2027 [***] 1 [***] 42579 [***] [***] [***] [***] [***] [***] [***] Feb-2027 [***] 1 [***] 42539 [***] [***] [***] [***] [***] [***] [***] Feb-2027 [***] 1 [***] 65441 [***] [***] [***] [***] [***] [***] [***] Feb-2027 [***] 1 [***] 42672 [***] [***] [***] [***] [***] [***] [***] Feb-2027 [***] 1 [***] 42673 [***] [***] [***] [***] [***] [***] [***] Mar-2027 [***] 1 [***] 35970 [***] [***] [***] [***] [***] [***] [***] Mar-2027 [***] 1 [***] 42669 [***] [***] [***] [***] [***] [***] [***] SWA-PA-03729 107813 / 108198 / 108732 Boeing Proprietary SA-25 Page 10


 
Table 1A To Purchase Agreement No. PA-03729 Aircraft Delivery, Description, Price and Advance Payments 737-8 Aircraft Invoice Escalation Manufacturer Escalation Estimate Aircraft (Amts. Due/Mos. Prior to Delivery): Delivery Escalation Number of Factor *(3.3) Serial Escalation Adv Payment Base At Signing 24 Mos. 21/18/12/9/6 Mos. Total Date*(1)(4) Date *(3.2) Aircraft (Airframe) Number*(2) Factor [***] Notes Price Per A/P [***] [***] [***] [***] Mar-2027 [***] 1 [***] 42553 [***] [***] [***] [***] [***] [***] [***] Mar-2027 [***] 1 [***] 65445 [***] [***] [***] [***] [***] [***] [***] Apr-2027 [***] 1 [***] 42607 [***] [***] [***] [***] [***] [***] [***] Apr-2027 [***] 1 [***] 65442 [***] [***] [***] [***] [***] [***] [***] Apr-2027 [***] 1 [***] 65446 [***] [***] [***] [***] [***] [***] [***] Apr-2027 [***] 1 [***] 33941 [***] [***] [***] [***] [***] [***] [***] May-2027 [***] 1 [***] 42540 [***] [***] [***] [***] [***] [***] [***] May-2027 [***] 1 [***] 42665 [***] [***] [***] [***] [***] [***] [***] May-2027 [***] 1 [***] 42674 [***] [***] [***] [***] [***] [***] [***] Jun-2027 [***] 1 [***] 65443 [***] [***] [***] [***] [***] [***] [***] Jun-2027 [***] 1 [***] 65444 [***] [***] [***] [***] [***] [***] [***] Jun-2027 [***] 1 [***] 65842 [***] [***] Note 3 [***] [***] [***] [***] [***] Jun-2027 [***] 1 [***] 42691 [***] [***] [***] [***] [***] [***] [***] Jul-2027 [***] 1 [***] 65467 [***] [***] [***] [***] [***] [***] [***] Jul-2027 [***] 1 [***] 65843 [***] [***] Note 3 [***] [***] [***] [***] [***] Jul-2027 [***] 1 [***] 65468 [***] [***] [***] [***] [***] [***] [***] Jul-2027 [***] 1 [***] 42694 [***] [***] [***] [***] [***] [***] [***] Aug-2027 [***] 1 [***] 65852 [***] [***] Note 3 [***] [***] [***] [***] [***] Aug-2027 [***] 1 [***] 65844 [***] [***] Note 3 [***] [***] [***] [***] [***] Aug-2027 [***] 1 [***] 65469 [***] [***] [***] [***] [***] [***] [***] Aug-2027 [***] 1 [***] 65472 [***] [***] [***] [***] [***] [***] [***] Sep-2027 [***] 1 [***] 65470 [***] [***] [***] [***] [***] [***] [***] Sep-2027 [***] 1 [***] 65850 [***] [***] Note 3 [***] [***] [***] [***] [***] Sep-2027 [***] 1 [***] 65845 [***] [***] Note 3 [***] [***] [***] [***] [***] Sep-2027 [***] 1 [***] 65447 [***] [***] [***] [***] [***] [***] [***] Oct-2027 [***] 1 [***] 65855 [***] [***] Note 3 [***] [***] [***] [***] [***] Oct-2027 [***] 1 [***] 65854 [***] [***] Note 3 [***] [***] [***] [***] [***] Oct-2027 [***] 1 [***] 65448 [***] [***] [***] [***] [***] [***] [***] Nov-2027 [***] 1 [***] 65853 [***] [***] Note 3 [***] [***] [***] [***] [***] Nov-2027 [***] 1 [***] 65851 [***] [***] Note 3 [***] [***] [***] [***] [***] Nov-2027 [***] 1 [***] 42615 [***] [***] [***] [***] [***] [***] [***] Nov-2027 [***] 1 [***] 42543 [***] [***] [***] [***] [***] [***] [***] Dec-2027 [***] 1 [***] 65847 [***] [***] Note 3 [***] [***] [***] [***] [***] Dec-2027 [***] 1 [***] 65849 [***] [***] Note 3 [***] [***] [***] [***] [***] Dec-2027 [***] 1 [***] 65474 [***] [***] [***] [***] [***] [***] [***] Jan-2028 [***] 1 [***] 65857 [***] [***] Note 3 [***] [***] [***] [***] [***] Jan-2028 [***] 1 [***] 65856 [***] [***] Note 3 [***] [***] [***] [***] [***] Jan-2028 [***] 1 [***] 65859 [***] [***] Note 3 [***] [***] [***] [***] [***] SWA-PA-03729 107813 / 108198 / 108732 Boeing Proprietary SA-25 Page 11


 
Table 1A To Purchase Agreement No. PA-03729 Aircraft Delivery, Description, Price and Advance Payments 737-8 Aircraft Invoice Escalation Manufacturer Escalation Estimate Aircraft (Amts. Due/Mos. Prior to Delivery): Delivery Escalation Number of Factor *(3.3) Serial Escalation Adv Payment Base At Signing 24 Mos. 21/18/12/9/6 Mos. Total Date*(1)(4) Date *(3.2) Aircraft (Airframe) Number*(2) Factor [***] Notes Price Per A/P [***] [***] [***] [***] Jan-2028 [***] 1 [***] 36733 [***] [***] [***] [***] [***] [***] [***] Feb-2028 [***] 1 [***] 37034 [***] [***] [***] [***] [***] [***] [***] Feb-2028 [***] 1 [***] 36732 [***] [***] [***] [***] [***] [***] [***] Feb-2028 [***] 1 [***] 38806 [***] [***] [***] [***] [***] [***] [***] Feb-2028 [***] 1 [***] 42697 [***] [***] [***] [***] [***] [***] [***] Feb-2028 [***] 1 [***] 42699 [***] [***] [***] [***] [***] [***] [***] Mar-2028 [***] 1 [***] 65860 [***] [***] Note 3 [***] [***] [***] [***] [***] Mar-2028 [***] 1 [***] 65861 [***] [***] Note 3 [***] [***] [***] [***] [***] Mar-2028 [***] 1 [***] 38815 [***] [***] [***] [***] [***] [***] [***] Mar-2028 [***] 1 [***] 65475 [***] [***] [***] [***] [***] [***] [***] Apr-2028 [***] 1 [***] 42538 [***] [***] [***] [***] [***] [***] [***] Apr-2028 [***] 1 [***] 42552 [***] [***] [***] [***] [***] [***] [***] Apr-2028 [***] 1 [***] 65858 [***] [***] Note 3 [***] [***] [***] [***] [***] Apr-2028 [***] 1 [***] 42703 [***] [***] [***] [***] [***] [***] [***] Apr-2028 [***] 1 [***] 33940 [***] [***] [***] [***] [***] [***] [***] May-2028 [***] 1 [***] 35968 [***] [***] [***] [***] [***] [***] [***] May-2028 [***] 1 [***] 35972 [***] [***] [***] [***] [***] [***] [***] May-2028 [***] 1 [***] 36736 [***] [***] [***] [***] [***] [***] [***] May-2028 [***] 1 [***] 35974 [***] [***] [***] [***] [***] [***] [***] Jun-2028 [***] 1 [***] 38817 [***] [***] [***] [***] [***] [***] [***] Jun-2028 [***] 1 [***] 65862 [***] [***] Note 3 [***] [***] [***] [***] [***] Jun-2028 [***] 1 [***] 35963 [***] [***] [***] [***] [***] [***] [***] Jun-2028 [***] 1 [***] 65450 [***] [***] [***] [***] [***] [***] [***] Jul-2028 [***] 1 [***] 35967 [***] [***] [***] [***] [***] [***] [***] Jul-2028 [***] 1 [***] 42542 [***] [***] [***] [***] [***] [***] [***] Jul-2028 [***] 1 [***] 36730 [***] [***] [***] [***] [***] [***] [***] Jul-2028 [***] 1 [***] 65449 [***] [***] [***] [***] [***] [***] [***] Aug-2028 [***] 1 [***] 65864 [***] [***] Note 3 [***] [***] [***] [***] [***] Aug-2028 [***] 1 [***] 35971 [***] [***] [***] [***] [***] [***] [***] Aug-2028 [***] 1 [***] 35975 [***] [***] [***] [***] [***] [***] [***] Aug-2028 [***] 1 [***] 65835 [***] [***] Note 3 [***] [***] [***] [***] [***] Sep-2028 [***] 1 [***] 38805 [***] [***] [***] [***] [***] [***] [***] Sep-2028 [***] 1 [***] 38804 [***] [***] [***] [***] [***] [***] [***] Sep-2028 [***] 1 [***] 65866 [***] [***] Note 3 [***] [***] [***] [***] [***] Sep-2028 [***] 1 [***] 65451 [***] [***] [***] [***] [***] [***] [***] Oct-2028 [***] 1 [***] 36729 [***] [***] [***] [***] [***] [***] [***] Oct-2028 [***] 1 [***] 65863 [***] [***] Note 3 [***] [***] [***] [***] [***] Oct-2028 [***] 1 [***] 65867 [***] [***] Note 3 [***] [***] [***] [***] [***] SWA-PA-03729 107813 / 108198 / 108732 Boeing Proprietary SA-25 Page 12


 
Table 1A To Purchase Agreement No. PA-03729 Aircraft Delivery, Description, Price and Advance Payments 737-8 Aircraft Invoice Escalation Manufacturer Escalation Estimate Aircraft (Amts. Due/Mos. Prior to Delivery): Delivery Escalation Number of Factor *(3.3) Serial Escalation Adv Payment Base At Signing 24 Mos. 21/18/12/9/6 Mos. Total Date*(1)(4) Date *(3.2) Aircraft (Airframe) Number*(2) Factor [***] Notes Price Per A/P [***] [***] [***] [***] Oct-2028 [***] 1 [***] 42648 [***] [***] [***] [***] [***] [***] [***] Nov-2028 [***] 1 [***] 65865 [***] [***] Note 3 [***] [***] [***] [***] [***] Nov-2028 [***] 1 [***] 65868 [***] [***] Note 3 [***] [***] [***] [***] [***] Nov-2028 [***] 1 [***] 65869 [***] [***] Note 3 [***] [***] [***] [***] [***] Nov-2028 [***] 1 [***] 65452 [***] [***] [***] [***] [***] [***] [***] Nov-2028 [***] 1 [***] 42650 [***] [***] [***] [***] [***] [***] [***] Dec-2028 [***] 1 [***] 65871 [***] [***] Note 3 [***] [***] [***] [***] [***] Dec-2028 [***] 1 [***] 65870 [***] [***] Note 3 [***] [***] [***] [***] [***] Dec-2028 [***] 1 [***] 42651 [***] [***] [***] [***] [***] [***] [***] Jan-2029 [***] 1 [***] 65846 [***] [***] Note 3 [***] [***] [***] [***] [***] Jan-2029 [***] 1 [***] 42649 [***] [***] [***] [***] [***] [***] [***] Jan-2029 [***] 1 [***] 65454 [***] [***] [***] [***] [***] [***] [***] Feb-2029 [***] 1 [***] 65848 [***] [***] Note 3 [***] [***] [***] [***] [***] Feb-2029 [***] 1 [***] 65453 [***] [***] [***] [***] [***] [***] [***] Feb-2029 [***] 1 [***] 42652 [***] [***] [***] [***] [***] [***] [***] Feb-2029 [***] 1 [***] 42653 [***] [***] [***] [***] [***] [***] [***] Mar-2029 [***] 1 [***] 65873 [***] [***] Note 3 [***] [***] [***] [***] [***] Mar-2029 [***] 1 [***] 65872 [***] [***] Note 3 [***] [***] [***] [***] [***] Mar-2029 [***] 1 [***] 42654 [***] [***] [***] [***] [***] [***] [***] Mar-2029 [***] 1 [***] 65455 [***] [***] [***] [***] [***] [***] [***] Mar-2029 [***] 1 [***] 65456 [***] [***] [***] [***] [***] [***] [***] Apr-2029 [***] 1 [***] 42655 [***] [***] [***] [***] [***] [***] [***] Apr-2029 [***] 1 [***] 42656 [***] [***] [***] [***] [***] [***] [***] Apr-2029 [***] 1 [***] 42670 [***] [***] [***] [***] [***] [***] [***] May-2029 [***] 1 [***] 65457 [***] [***] [***] [***] [***] [***] [***] May-2029 [***] 1 [***] 42658 [***] [***] [***] [***] [***] [***] [***] May-2029 [***] 1 [***] 65834 [***] [***] Note 3 [***] [***] [***] [***] [***] Jun-2029 [***] 1 [***] 65460 [***] [***] [***] [***] [***] [***] [***] Jun-2029 [***] 1 [***] 65458 [***] [***] [***] [***] [***] [***] [***] Jul-2029 [***] 1 [***] 65459 [***] [***] [***] [***] [***] [***] [***] Jul-2029 [***] 1 [***] 65836 [***] [***] Note 3 [***] [***] [***] [***] [***] Aug-2029 [***] 1 [***] 65837 [***] [***] Note 3 [***] [***] [***] [***] [***] Aug-2029 [***] 1 [***] 65838 [***] [***] Note 3 [***] [***] [***] [***] [***] Aug-2029 [***] 1 [***] 65839 [***] [***] Note 3 [***] [***] [***] [***] [***] Sep-2029 [***] 1 [***] 65461 [***] [***] [***] [***] [***] [***] [***] Sep-2029 [***] 1 [***] 66974 [***] [***] Note 4 [***] [***] [***] [***] [***] Oct-2029 [***] 1 [***] 65463 [***] [***] [***] [***] [***] [***] [***] Oct-2029 [***] 1 [***] 65840 [***] [***] Note 3 [***] [***] [***] [***] [***] SWA-PA-03729 107813 / 108198 / 108732 Boeing Proprietary SA-25 Page 13


 
Table 1A To Purchase Agreement No. PA-03729 Aircraft Delivery, Description, Price and Advance Payments 737-8 Aircraft Invoice Escalation Manufacturer Escalation Estimate Aircraft (Amts. Due/Mos. Prior to Delivery): Delivery Escalation Number of Factor *(3.3) Serial Escalation Adv Payment Base At Signing 24 Mos. 21/18/12/9/6 Mos. Total Date*(1)(4) Date *(3.2) Aircraft (Airframe) Number*(2) Factor [***] Notes Price Per A/P [***] [***] [***] [***] Oct-2029 [***] 1 [***] 65841 [***] [***] Note 3 [***] [***] [***] [***] [***] Nov-2029 [***] 1 [***] 65462 [***] [***] [***] [***] [***] [***] [***] Nov-2029 [***] 1 [***] 65466 [***] [***] [***] [***] [***] [***] [***] Dec-2029 [***] 1 [***] 65465 [***] [***] [***] [***] [***] [***] [***] Dec-2029 [***] 1 [***] 65464 [***] [***] [***] [***] [***] [***] [***] Total: 496 *(2) Manufacturer Serial Numbers (MSN) are for reference only and are subject to change. † [***] *(3.3) [***] *(3.3) [***] Notes: (1) [***] (3) [***] (4) [***] (5) Substitution of (10) September 2022 / (10) October 2022 / (10) November 2022 / (10) December 2022 -- 737-7 into 737-8 from SA-16. Reference Table 1B and Letter Agreement No. SWA-PA-03729-LA-2103755 for pricing terms and conditions for these (40) substituted Aircraft. (6) Exercise of Remarket Aircraft per SWA-PA-03729-LA-1106474, entitled Option Aircraft (7) Substitution of forty-eight (48) 737-7 into 737-8 from SA-18: (10) January 2023 / (10) February 2023 / (10) March 2023 / (10) April 2023 / (8) May 2023. Reference Table 1B and Letter Agreement No. SWA-PA-03729-LA-2202855R1, 2023 MAX Production Plan, for pricing terms and conditions for these (48) substituted Aircraft. (8) Exercise and acceleration of Remarket Aircraft per SWA-PA-03729-LA-1106474, entitled Option Aircraft and SWA-PA-03729-LA-2103755, entitled 2022/2023 Production Plan (15) Substitution of nineteen (19) 737-7 into 737-8 from SA-25 ([***]): (4) Mar-2026, (9) Apr-2026, and (6) May-2026. Ref. Table 1B and Table 1.5 of LA No. SWA-PA-3729-LA-2202855R7 and SA-25. (11) Substitution of nineteen (19) 737-7 into 737-8 from SA-22: (5) Jan 2025, (6) Feb 2025, (7) March 2025, (1) Aug 2022 [***]. Reference Table 1B and Letter Agreement No. SWA-PA-3729-LA-2202855R4 (12) Substitution of eleven (11) 737-7 into 737-8 from SA-23: (4) March 2025, (4) April 2025, (3) May 2025 [***]. Reference Table 1B and Letter Agreement No. SWA-PA-3729-LA-2202855R5 (13) Substitution of eleven (11) 737-7 into 737-8 from SA-24: (2) May 2025, (3) June 2025, (6) August 2025. Reference Table 1B and Letter Agreement No. SWA-PA-3729-LA-2202855R6 *(1) [***] *(3.1) [***] *(3.2) [***] (2) [***] (9) Substitution of seventeen (17) 737-7 into 737-8 from SA-19: (3) June 2023, (5) July 2023, (2) August 2023, (4) September 2023 and (3) October 2023. Reference Table 1B and Letter Agreement No. SWA-PA-3729-LA-2202855R1 (10) Substitution of forty-seven (47) 737-7 into 737-8 from SA-20/SA-21: (4) Nov 2023, (4) Dec 2023, (5) Jan 2024, (6) Feb 2024, (8) Mar 2024, (8) Apr 2024, (8) May, (1) June 2024, and (3) Nov 2024. Reference Table 1B and Letter Agreement No. SWA-PA-3729-LA- 2202855R3 (14) Substitution of forty-four (44) 737-7 into 737-8 from SA-25 ([***]): (3) Sept-2025, (9) Oct-2025, (11) Nov-2025, (9) Dec-2025, (3) Jan-2026, (5) Feb-2026, and (4) Mar-2026. Ref. Table 1B and Table 1.1 of LA No. SWA-PA-3729-LA-2202855R7 and SA-25. SWA-PA-03729 107813 / 108198 / 108732 Boeing Proprietary SA-25 Page 14


 
Table 1B To Purchase Agreement No. PA-03729 Aircraft Delivery, Description, Price and Advance Payments 737-7 Aircraft Airframe Model/MTOW: 737-7 177,000 pounds Detail Specification: D019A008SWA17P-1 2Q11 External Fcst Engine Model/Thrust: CFMLEAP-1B27(1) 26,400 pounds Airframe Price Base Year/Escalation Formula: Jul-11 ECI-MFG/CPI Airframe Price: [***] Engine Price Base Year/Escalation Formula: N/A N/A Optional Features: [***] Sub-Total of Airframe and Features: [***] Airframe Escalation Data: Engine Price (Per Aircraft): [***] Base Year Index (ECI): [***] Aircraft Basic Price (Excluding BFE/SPE): [***] Base Year Index (CPI): [***] Buyer Furnished Equipment (BFE) Estimate: [***] Seller Purchased Equipment (SPE) Estimate: [***] [***] Deposit per Aircraft: [***] Invoice Escalation Manufacturer Escalation Estimate Advance Payment Per Aircraft (Amts. Due/Mos. Prior to Delivery): Delivery Escalation Number of Factor (3.3) Serial Escalation Adv. Payment Base At Signing 24 Mos. 21/18/12/9/6 Mos. Total Date*(1)(11) Date (3.2) Aircraft (Airframe) Number*(2) Factor Forecast [***] Note Price Per A/P [***] [***] [***] [***] Aug-Dec'24 [***] 1 [***] 42586 [***] [***] [***] [***] [***] [***] [***] Aug-Dec'24 [***] 1 [***] 42587 [***] [***] [***] [***] [***] [***] [***] Aug-Dec'24 [***] 1 [***] 42588 [***] [***] [***] [***] [***] [***] [***] Aug-Dec'24 [***] 1 [***] 42589 [***] [***] [***] [***] [***] [***] [***] Aug-Dec'24 [***] 1 [***] 42590 [***] [***] [***] [***] [***] [***] [***] Aug-Dec'24 [***] 1 [***] 42561 [***] [***] [***] [***] [***] [***] [***] Aug-Dec'24 [***] 1 [***] 42569 [***] [***] [***] [***] [***] [***] [***] Aug-Dec'24 [***] 1 [***] 42614 [***] [***] [***] [***] [***] [***] [***] Aug-Dec'24 [***] 1 [***] 42620 [***] [***] [***] [***] [***] [***] [***] Aug-Dec'24 [***] 1 [***] 42621 [***] [***] [***] [***] [***] [***] [***] Aug-Dec'24 [***] 1 [***] 42623 [***] [***] [***] [***] [***] [***] [***] Aug-Dec'24 [***] 1 [***] 42627 [***] [***] [***] [***] [***] [***] [***] Aug-Dec'24 [***] 1 [***] 42629 [***] [***] [***] [***] [***] [***] [***] Aug-Dec'24 [***] 1 [***] 42631 [***] [***] [***] [***] [***] [***] [***] Aug-Dec'24 [***] 1 [***] 42602 [***] [***] [***] [***] [***] [***] [***] Aug-Dec'24 [***] 1 [***] 42603 [***] [***] [***] [***] [***] [***] [***] Aug-Dec'24 [***] 1 [***] 42604 [***] [***] [***] [***] [***] [***] [***] Aug-Dec'24 [***] 1 [***] 42609 [***] [***] [***] [***] [***] [***] [***] Aug-Dec'24 [***] 1 [***] 42635 [***] [***] [***] [***] [***] [***] [***] Aug-Dec'24 [***] 1 [***] 42638 [***] [***] [***] [***] [***] [***] [***] Aug-Dec'24 [***] 1 [***] 42642 [***] [***] [***] [***] [***] [***] [***] Aug-Dec'24 [***] 1 [***] 42632 [***] [***] [***] [***] [***] [***] [***] Aug-Dec'24 [***] 1 [***] 42592 [***] [***] [***] [***] [***] [***] [***] Aug-Dec'24 [***] 1 [***] 42595 [***] [***] [***] [***] [***] [***] [***] Aug-Dec'24 [***] 1 [***] 67466 [***] [***] (*) 737-8 Sub [***] [***] [***] [***] [***] Aug-Dec'24 [***] 1 [***] 67465 [***] [***] (*) 737-8 Sub [***] [***] [***] [***] [***] SWA-PA-03729 107953-1F 116795-1F 116953-1F 118300-1F Boeing Proprietary SA-25 Page 1


 
Table 1B To Purchase Agreement No. PA-03729 Aircraft Delivery, Description, Price and Advance Payments 737-7 Aircraft Invoice Escalation Manufacturer Escalation Estimate Advance Payment Per Aircraft (Amts. Due/Mos. Prior to Delivery): Delivery Escalation Number of Factor (3.3) Serial Escalation Adv. Payment Base At Signing 24 Mos. 21/18/12/9/6 Mos. Total Date*(1)(11) Date (3.2) Aircraft (Airframe) Number*(2) Factor Forecast [***] Note Price Per A/P [***] [***] [***] [***] Aug-Dec'24 [***] 1 [***] 67467 [***] [***] (*) 737-8 Sub [***] [***] [***] [***] [***] Sep-2022 [***] **** Substitutions [***] [***] [***] (*)(5) 737-8 Sub [***] [***] [***] [***] [***] Sep-2022 [***] **** Substitutions [***] [***] [***] (*)(5) 737-8 Sub [***] [***] [***] [***] [***] Sep-2022 [***] **** Substitutions [***] [***] [***] (*)(5) 737-8 Sub [***] [***] [***] [***] [***] Sep-2022 [***] **** Substitutions [***] [***] [***] (*)(5) 737-8 Sub [***] [***] [***] [***] [***] Sep-2022 [***] **** Substitutions [***] [***] [***] (*)(5) 737-8 Sub [***] [***] [***] [***] [***] Sep-2022 [***] **** Substitutions [***] [***] [***] (*)(5) 737-8 Sub [***] [***] [***] [***] [***] Sep-2022 [***] **** Substitutions [***] [***] [***] (*)(5) 737-8 Sub [***] [***] [***] [***] [***] Sep-2022 [***] **** Substitutions [***] 42598 [***] [***] (5) 737-8 Sub [***] [***] [***] [***] [***] Sep-2022 [***] **** Substitutions [***] [***] [***] (*)(5) 737-8 Sub [***] [***] [***] [***] [***] Sep-2022 [***] **** Substitutions [***] [***] [***] (*)(5) 737-8 Sub [***] [***] [***] [***] [***] Oct-2022 [***] **** Substitutions [***] [***] [***] (*)(5) 737-8 Sub [***] [***] [***] [***] [***] Oct-2022 [***] **** Substitutions [***] [***] [***] (*)(5) 737-8 Sub [***] [***] [***] [***] [***] Jan-2023 [***] **** Substitutions [***] [***] [***] (*)(5) 737-8 Sub [***] [***] [***] [***] [***] Jan-2023 [***] **** Substitutions [***] [***] [***] (*)(5) 737-8 Sub [***] [***] [***] [***] [***] Jan-2023 [***] **** Substitutions [***] [***] [***] (*)(5) 737-8 Sub [***] [***] [***] [***] [***] Jan-2023 [***] **** Substitutions [***] [***] [***] (*)(5) 737-8 Sub [***] [***] [***] [***] [***] Jan-2023 [***] **** Substitutions [***] [***] [***] (*)(5) 737-8 Sub [***] [***] [***] [***] [***] Jan-2023 [***] **** Substitutions [***] [***] [***] (*)(5) OPEX & 737-8 Sub [***] [***] [***] [***] [***] Jan-2023 [***] **** Substitutions [***] [***] [***] (*)(5) OPEX & 737-8 Sub [***] [***] [***] [***] [***] Jan-2023 [***] **** Substitutions [***] [***] [***] (*)(5) OPEX & 737-8 Sub [***] [***] [***] [***] [***] Jan-2023 [***] **** Substitutions [***] [***] [***] (*)(5) 737-8 Sub [***] [***] [***] [***] [***] Jan-2023 [***] **** Substitutions [***] [***] [***] (*)(5) 737-8 Sub [***] [***] [***] [***] [***] Jan-2023 [***] **** Substitutions [***] [***] [***] (*)(5) 737-8 Sub [***] [***] [***] [***] [***] Feb-2023 [***] **** Substitutions [***] [***] [***] (*)(5) 737-8 Sub [***] [***] [***] [***] [***] Feb-2023 [***] **** Substitutions [***] [***] [***] (*)(5) 737-8 Sub [***] [***] [***] [***] [***] Feb-2023 [***] **** Substitutions [***] [***] [***] (*)(5) 737-8 Sub [***] [***] [***] [***] [***] Feb-2023 [***] **** Substitutions [***] [***] [***] (*)(5) OPEX & 737-8 Sub [***] [***] [***] [***] [***] Mar-2023 [***] **** Substitutions [***] 42600 [***] [***] (5) 737-8 Sub [***] [***] [***] [***] [***] Mar-2023 [***] **** Substitutions [***] [***] [***] (*)(5) OPEX & 737-8 Sub [***] [***] [***] [***] [***] Mar-2023 [***] **** Substitutions [***] [***] [***] (*)(5) OPEX & 737-8 Sub [***] [***] [***] [***] [***] Mar-2023 [***] **** Substitutions [***] [***] [***] (*)(5) 737-8 Sub [***] [***] [***] [***] [***] Mar-2023 [***] **** Substitutions [***] [***] [***] (*)(5) 737-8 Sub [***] [***] [***] [***] [***] Mar-2023 [***] **** Substitutions [***] [***] [***] (*)(5) 737-8 Sub [***] [***] [***] [***] [***] Mar-2023 [***] **** Substitutions [***] [***] [***] (*)(5) 737-8 Sub [***] [***] [***] [***] [***] Mar-2023 [***] **** Substitutions [***] [***] [***] (*)(5) 737-8 Sub [***] [***] [***] [***] [***] Mar-2023 [***] **** Substitutions [***] 67471 [***] [***] (*)(5) 737-8 Sub [***] [***] [***] [***] [***] SWA-PA-03729 107953-1F 116795-1F 116953-1F 118300-1F Boeing Proprietary SA-25 Page 2


 
Table 1B To Purchase Agreement No. PA-03729 Aircraft Delivery, Description, Price and Advance Payments 737-7 Aircraft Invoice Escalation Manufacturer Escalation Estimate Advance Payment Per Aircraft (Amts. Due/Mos. Prior to Delivery): Delivery Escalation Number of Factor (3.3) Serial Escalation Adv. Payment Base At Signing 24 Mos. 21/18/12/9/6 Mos. Total Date*(1)(11) Date (3.2) Aircraft (Airframe) Number*(2) Factor Forecast [***] Note Price Per A/P [***] [***] [***] [***] Mar-2023 [***] **** Substitutions [***] 42591 [***] [***] (5) 737-8 Sub [***] [***] [***] [***] [***] Mar-2023 [***] **** Substitutions [***] [***] [***] (*)(5) OPEX & 737-8 Sub [***] [***] [***] [***] [***] Apr-2023 [***] **** Substitutions [***] [***] [***] (*)(5) OPEX & 737-8 Sub [***] [***] [***] [***] [***] Apr-2023 [***] **** Substitutions [***] 42657 [***] [***] *(4)(5) 737-8 Sub [***] [***] [***] [***] [***] Apr-2023 [***] **** Substitutions [***] 42671 [***] [***] *(4)(5) 737-8 Sub [***] [***] [***] [***] [***] May-2023 [***] **** Substitutions [***] 67470 [***] [***] (*)(5) 737-8 Sub [***] [***] [***] [***] [***] May-2023 [***] **** Substitutions [***] 67865 [***] [***] (*)(5) OPEX & 737-8 Sub [***] [***] [***] [***] [***] May-2023 [***] **** Substitutions [***] 67864 [***] [***] (*)(5) OPEX & 737-8 Sub [***] [***] [***] [***] [***] May-2023 [***] **** Substitutions [***] 67863 [***] [***] (*)(5) OPEX & 737-8 Sub [***] [***] [***] [***] [***] May-2023 [***] **** Substitutions [***] 67862 [***] [***] (*)(5) OPEX & 737-8 Sub [***] [***] [***] [***] [***] May-2023 [***] **** Substitutions [***] 67861 [***] [***] (*)(5) OPEX & 737-8 Sub [***] [***] [***] [***] [***] May-2023 [***] **** Substitutions [***] 67860 [***] [***] (*)(5) OPEX & 737-8 Sub [***] [***] [***] [***] [***] May-2023 [***] **** Substitutions [***] 67859 [***] [***] (*)(5) OPEX & 737-8 Sub [***] [***] [***] [***] [***] May-2023 [***] **** Substitutions [***] 67858 [***] [***] (*)(5) OPEX & 737-8 Sub [***] [***] [***] [***] [***] May-2023 [***] **** Substitutions [***] 42679 [***] [***] *(4)(5) 737-8 Sub [***] [***] [***] [***] [***] May-2023 [***] **** Substitutions [***] 67915 [***] [***] (*)(5) OPEX & 737-8 Sub [***] [***] [***] [***] [***] Jun-2023 [***] **** Substitutions [***] 42678 [***] [***] *(4)(5) 737-8 Sub [***] [***] [***] [***] [***] Jun-2023 [***] **** Substitutions [***] 42688 [***] [***] *(4)(5) 737-8 Sub [***] [***] [***] [***] [***] Jun-2023 [***] **** Substitutions [***] 67918 [***] [***] (*)(5) OPEX & 737-8 Sub [***] [***] [***] [***] [***] Jun-2023 [***] **** Substitutions [***] 67917 [***] [***] (*)(5) OPEX & 737-8 Sub [***] [***] [***] [***] [***] Jun-2023 [***] **** Substitutions [***] 42681 [***] [***] *(4)(5) 737-8 Sub [***] [***] [***] [***] [***] Jun-2023 [***] **** Substitutions [***] 42680 [***] [***] *(4)(5) 737-8 Sub [***] [***] [***] [***] [***] Jun-2023 [***] **** Substitutions [***] 67967 [***] [***] (*)(5) OPEX & 737-8 Sub [***] [***] [***] [***] [***] Jul-2023 [***] **** Substitutions [***] 67919 [***] [***] (*)(5) OPEX & 737-8 Sub [***] [***] [***] [***] [***] Jul-2023 [***] **** Substitutions [***] 67913 [***] [***] (*)(5) OPEX & 737-8 Sub [***] [***] [***] [***] [***] Jul-2023 [***] **** Substitutions [***] 42684 [***] [***] *(4)(5) 737-8 Sub [***] [***] [***] [***] [***] Jul-2023 [***] **** Substitutions [***] 67966 [***] [***] (*)(5) OPEX & 737-8 Sub [***] [***] [***] [***] [***] Jul-2023 [***] **** Substitutions [***] 67965 [***] [***] (*)(5) OPEX & 737-8 Sub [***] [***] [***] [***] [***] Jul-2023 [***] **** Substitutions [***] 42683 [***] [***] *(4)(5) 737-8 Sub [***] [***] [***] [***] [***] Jul-2023 [***] **** Substitutions [***] 68047 [***] [***] (*)(5) OPEX & 737-8 Sub [***] [***] [***] [***] [***] Aug-2023 [***] **** Substitutions [***] 67916 [***] [***] (*)(5) OPEX & 737-8 Sub [***] [***] [***] [***] [***] Aug-2023 [***] **** Substitutions [***] 67914 [***] [***] (*)(5) OPEX & 737-8 Sub [***] [***] [***] [***] [***] Aug-2023 [***] **** Substitutions [***] 67964 [***] [***] (*)(5) OPEX & 737-8 Sub [***] [***] [***] [***] [***] Aug-2023 [***] **** Substitutions [***] 67962 [***] [***] (*)(5) OPEX & 737-8 Sub [***] [***] [***] [***] [***] Aug-2023 [***] **** Substitutions [***] 42687 [***] [***] *(4)(5) 737-8 Sub [***] [***] [***] [***] [***] Aug-2023 [***] **** Substitutions [***] 68119 [***] [***] (*)(5) OPEX & 737-8 Sub [***] [***] [***] [***] [***] Aug-2023 [***] **** Substitutions [***] 68046 [***] [***] (*)(5) OPEX & 737-8 Sub [***] [***] [***] [***] [***] SWA-PA-03729 107953-1F 116795-1F 116953-1F 118300-1F Boeing Proprietary SA-25 Page 3


 
Table 1B To Purchase Agreement No. PA-03729 Aircraft Delivery, Description, Price and Advance Payments 737-7 Aircraft Invoice Escalation Manufacturer Escalation Estimate Advance Payment Per Aircraft (Amts. Due/Mos. Prior to Delivery): Delivery Escalation Number of Factor (3.3) Serial Escalation Adv. Payment Base At Signing 24 Mos. 21/18/12/9/6 Mos. Total Date*(1)(11) Date (3.2) Aircraft (Airframe) Number*(2) Factor Forecast [***] Note Price Per A/P [***] [***] [***] [***] Aug-2023 [***] **** Substitutions [***] 68118 [***] [***] (*)(5) OPEX & 737-8 Sub [***] [***] [***] [***] [***] Sep-2023 [***] **** Substitutions [***] 67961 [***] [***] (*)(5) OPEX & 737-8 Sub [***] [***] [***] [***] [***] Sep-2023 [***] **** Substitutions [***] 42685 [***] [***] *(4)(5) 737-8 Sub [***] [***] [***] [***] [***] Sep-2023 [***] **** Substitutions [***] 68117 [***] [***] (*)(5) OPEX & 737-8 Sub [***] [***] [***] [***] [***] Oct-2023 [***] **** Substitutions [***] 42690 [***] [***] *(4)(5) 737-8 Sub [***] [***] [***] [***] [***] Oct-2023 [***] **** Substitutions [***] 42560 [***] [***] *(4)(5) 737-8 Sub [***] [***] [***] [***] [***] Nov-2023 [***] **** Substitutions [***] 68048 [***] [***] (*)(5) OPEX & 737-8 Sub [***] [***] [***] [***] [***] Nov-2023 [***] **** Substitutions [***] 68120 [***] [***] (*)(5) OPEX & 737-8 Sub [***] [***] [***] [***] [***] Nov-2023 [***] **** Substitutions [***] 67963 [***] [***] (*)(5) OPEX & 737-8 Sub [***] [***] [***] [***] [***] Nov-2023 [***] **** Substitutions [***] 68050 [***] [***] (*)(5) OPEX & 737-8 Sub [***] [***] [***] [***] [***] Nov-2023 [***] **** Substitutions [***] 67469 [***] [***] *(4)(5) 737-8 Sub [***] [***] [***] [***] [***] Nov-2023 [***] **** Substitutions [***] 68184 [***] [***] (*)(5) OPEX & 737-8 Sub [***] [***] [***] [***] [***] Nov-2023 [***] **** Substitutions [***] 42555 [***] [***] *(4)(5) 737-8 Sub [***] [***] [***] [***] [***] Dec-2023 [***] **** Substitutions [***] 68049 [***] [***] (*)(5) OPEX & 737-8 Sub [***] [***] [***] [***] [***] Dec-2023 [***] **** Substitutions [***] 68051 [***] [***] (*)(5) OPEX & 737-8 Sub [***] [***] [***] [***] [***] Dec-2023 [***] **** Substitutions [***] 42682 [***] [***] *(4)(5) 737-8 Sub [***] [***] [***] [***] [***] Dec-2023 [***] **** Substitutions [***] 42686 [***] [***] *(4)(5) 737-8 Sub [***] [***] [***] [***] [***] Dec-2023 [***] **** Substitutions [***] 42689 [***] [***] *(4)(5) 737-8 Sub [***] [***] [***] [***] [***] Dec-2023 [***] **** Substitutions [***] 42695 [***] [***] *(4)(5) 737-8 Sub [***] [***] [***] [***] [***] Dec-2023 [***] **** Substitutions [***] 68183 [***] [***] (*)(5) OPEX & 737-8 Sub [***] [***] [***] [***] [***] Dec-2023 [***] **** Substitutions [***] 42557 [***] [***] *(4)(5) 737-8 Sub [***] [***] [***] [***] [***] Jan-2024 [***] **** Substitutions [***] 42562 [***] [***] *(4)(5) 737-8 Sub [***] [***] [***] [***] [***] Jan-2024 [***] **** Substitutions [***] 68206 [***] [***] (*)(5) OPEX & 737-8 Sub [***] [***] [***] [***] [***] Feb-2024 [***] **** Substitutions [***] 42693 [***] [***] *(4)(5) 737-8 Sub [***] [***] [***] [***] [***] Feb-2024 [***] **** Substitutions [***] 68207 [***] [***] (*)(5) OPEX & 737-8 Sub [***] [***] [***] [***] [***] Mar-2024 [***] **** Substitutions [***] 42581 [***] [***] *(4)(5) 737-8 Sub [***] [***] [***] [***] [***] Jan-2024 [***] **** Substitutions [***] 42565 [***] [***] *(4)(5) 737-8 Sub [***] [***] [***] [***] [***] Jan-2024 [***] **** Substitutions [***] 42564 [***] [***] *(4)(5) 737-8 Sub [***] [***] [***] [***] [***] Jan-2024 [***] **** Substitutions [***] 42582 [***] [***] *(4)(5) 737-8 Sub [***] [***] [***] [***] [***] Feb-2024 [***] **** Substitutions [***] 68360 [***] [***] (*)(5) OPEX & 737-8 Sub [***] [***] [***] [***] [***] Jan-2024 [***] **** Substitutions [***] 68052 [***] [***] (*)(5) OPEX & 737-8 Sub [***] [***] [***] [***] [***] Jan-2024 [***] **** Substitutions [***] 42568 [***] [***] *(4)(5) 737-8 Sub [***] [***] [***] [***] [***] Mar-2024 [***] **** Substitutions [***] 42578 [***] [***] *(4)(5) 737-8 Sub [***] [***] [***] [***] [***] Feb-2024 [***] **** Substitutions [***] 68381 [***] [***] (*)(5) OPEX & 737-8 Sub [***] [***] [***] [***] [***] Feb-2024 [***] **** Substitutions [***] 68359 [***] [***] (*)(5) OPEX & 737-8 Sub [***] [***] [***] [***] [***] Jan-2024 [***] **** Substitutions [***] 68116 [***] [***] (*)(5) OPEX & 737-8 Sub [***] [***] [***] [***] [***] Jan-2024 [***] **** Substitutions [***] 42594 [***] [***] *(4)(5) 737-8 Sub [***] [***] [***] [***] [***] SWA-PA-03729 107953-1F 116795-1F 116953-1F 118300-1F Boeing Proprietary SA-25 Page 4


 
Table 1B To Purchase Agreement No. PA-03729 Aircraft Delivery, Description, Price and Advance Payments 737-7 Aircraft Invoice Escalation Manufacturer Escalation Estimate Advance Payment Per Aircraft (Amts. Due/Mos. Prior to Delivery): Delivery Escalation Number of Factor (3.3) Serial Escalation Adv. Payment Base At Signing 24 Mos. 21/18/12/9/6 Mos. Total Date*(1)(11) Date (3.2) Aircraft (Airframe) Number*(2) Factor Forecast [***] Note Price Per A/P [***] [***] [***] [***] Mar-2024 [***] **** Substitutions [***] 42593 [***] [***] *(4)(5) 737-8 Sub [***] [***] [***] [***] [***] Mar-2024 [***] **** Substitutions [***] 42601 [***] [***] *(4)(5) 737-8 Sub [***] [***] [***] [***] [***] Apr-2024 [***] **** Substitutions [***] 42605 [***] [***] *(4)(5) 737-8 Sub [***] [***] [***] [***] [***] Mar-2024 [***] **** Substitutions [***] 68382 [***] [***] (*)(5) OPEX & 737-8 Sub [***] [***] [***] [***] [***] Feb-2024 [***] **** Substitutions [***] 42597 [***] [***] *(4)(5) 737-8 Sub [***] [***] [***] [***] [***] Apr-2024 [***] **** Substitutions [***] 68458 [***] [***] (*)(5) OPEX & 737-8 Sub [***] [***] [***] [***] [***] Apr-2024 [***] **** Substitutions [***] 68628 [***] [***] *(4)(5) 737-8 Sub [***] [***] [***] [***] [***] Apr-2024 [***] **** Substitutions [***] 68457 [***] [***] (*)(5) OPEX & 737-8 Sub [***] [***] [***] [***] [***] Apr-2024 [***] **** Substitutions [***] 68459 [***] [***] (*)(5) OPEX & 737-8 Sub [***] [***] [***] [***] [***] May-2024 [***] **** Substitutions [***] 42584 [***] [***] *(4)(5) 737-8 Sub [***] [***] [***] [***] [***] May-2024 [***] **** Substitutions [***] 42585 [***] [***] *(4)(5) 737-8 Sub [***] [***] [***] [***] [***] May-2024 [***] **** Substitutions [***] 42583 [***] [***] *(4)(5) 737-8 Sub [***] [***] [***] [***] [***] May-2024 [***] **** Substitutions [***] 68626 [***] [***] *(4)(5) 737-8 Sub [***] [***] [***] [***] [***] May-2024 [***] **** Substitutions [***] 68627 [***] [***] *(4)(5) 737-8 Sub [***] [***] [***] [***] [***] May-2024 [***] **** Substitutions [***] 42611 [***] [***] *(4)(5) 737-8 Sub [***] [***] [***] [***] [***] Jun-2024 [***] **** Substitutions [***] 68633 [***] [***] *(4)(5) 737-8 Sub [***] [***] [***] [***] [***] Jun-2024 [***] **** Substitutions [***] 68632 [***] [***] *(4)(5) 737-8 Sub [***] [***] [***] [***] [***] Jun-2024 [***] **** Substitutions [***] 42596 [***] [***] *(4)(5) 737-8 Sub [***] [***] [***] [***] [***] Jun-2024 [***] **** Substitutions [***] 42599 [***] [***] *(4)(5) 737-8 Sub [***] [***] [***] [***] [***] Jun-2024 [***] **** Substitutions [***] 68629 [***] [***] *(6) (5) 737-8 Sub [***] [***] [***] [***] [***] Jun-2024 [***] **** Substitutions [***] 68630 [***] [***] *(4)(5) 737-8 Sub [***] [***] [***] [***] [***] Jun-2024 [***] **** Substitutions [***] 68631 [***] [***] *(4)(5) 737-8 Sub [***] [***] [***] [***] [***] Jun-2024 [***] **** Substitutions [***] 42612 [***] [***] *(4)(5) 737-8 Sub [***] [***] [***] [***] [***] Jun-2024 [***] **** Substitutions [***] 68891 [***] [***] *(6) (5) 737-8 Sub [***] [***] [***] [***] [***] Jul-2024 [***] **** Substitutions [***] 42606 [***] [***] *(4)(5) 737-8 Sub [***] [***] [***] [***] [***] Jul-2024 [***] **** Substitutions [***] 68890 [***] [***] *(6) (5) 737-8 Sub [***] [***] [***] [***] [***] Jul-2024 [***] **** Substitutions [***] 42617 [***] [***] *(4)(5) 737-8 Sub [***] [***] [***] [***] [***] Jul-2024 [***] **** Substitutions [***] 68892 [***] [***] *(6) (5) 737-8 Sub [***] [***] [***] [***] [***] Jul-2024 [***] **** Substitutions [***] 68894 [***] [***] *(4)(5) 737-8 Sub [***] [***] [***] [***] [***] Jul-2024 [***] **** Substitutions [***] 68893 [***] [***] *(6) (5) 737-8 Sub [***] [***] [***] [***] [***] Jul-2024 [***] **** Substitutions [***] 68927 [***] [***] *(6) (5) 737-8 Sub [***] [***] [***] [***] [***] Aug-2024 [***] **** Substitutions [***] 42608 [***] [***] *(4)(5) 737-8 Sub [***] [***] [***] [***] [***] Aug-2024 [***] **** Substitutions [***] 42619 [***] [***] *(4)(5) 737-8 Sub [***] [***] [***] [***] [***] Aug-2024 [***] **** Substitutions [***] 42622 [***] [***] *(4)(5) 737-8 Sub [***] [***] [***] [***] [***] Aug-2024 [***] **** Substitutions [***] 68925 [***] [***] *(6) (5) 737-8 Sub [***] [***] [***] [***] [***] Aug-2024 [***] **** Substitutions [***] 68926 [***] [***] *(6) (5) 737-8 Sub [***] [***] [***] [***] [***] Nov-2024 [***] **** Substitutions [***] 68928 [***] [***] *(4)(5) 737-8 Sub [***] [***] [***] [***] [***] SWA-PA-03729 107953-1F 116795-1F 116953-1F 118300-1F Boeing Proprietary SA-25 Page 5


 
Table 1B To Purchase Agreement No. PA-03729 Aircraft Delivery, Description, Price and Advance Payments 737-7 Aircraft Invoice Escalation Manufacturer Escalation Estimate Advance Payment Per Aircraft (Amts. Due/Mos. Prior to Delivery): Delivery Escalation Number of Factor (3.3) Serial Escalation Adv. Payment Base At Signing 24 Mos. 21/18/12/9/6 Mos. Total Date*(1)(11) Date (3.2) Aircraft (Airframe) Number*(2) Factor Forecast [***] Note Price Per A/P [***] [***] [***] [***] Nov-2024 [***] **** Substitutions [***] 68929 [***] [***] *(4)(5) 737-8 Sub [***] [***] [***] [***] [***] Nov-2024 [***] **** Substitutions [***] 68931 [***] [***] *(4)(5) 737-8 Sub [***] [***] [***] [***] [***] Nov-2024 [***] **** Substitutions [***] 42610 [***] [***] *(4)(5) 737-8 Sub [***] [***] [***] [***] [***] Nov-2024 [***] **** Substitutions [***] 42626 [***] [***] *(4)(5) 737-8 Sub [***] [***] [***] [***] [***] Nov-2024 [***] **** Substitutions [***] 68932 [***] [***] *(4)(5) 737-8 Sub [***] [***] [***] [***] [***] Jan-2025 [***] **** Substitutions [***] 42668 [***] [***] *(4)(5) 737-8 Sub [***] [***] [***] [***] [***] Jan-2025 [***] **** Substitutions [***] 36981 [***] [***] *(6)(5) 737-8 Sub [***] [***] [***] [***] [***] Jan-2025 [***] **** Substitutions [***] 42675 [***] [***] *(4)(5) 737-8 Sub [***] [***] [***] [***] [***] Jan-2025 [***] **** Substitutions [***] 69677 [***] [***] *(6)(5) 737-8 Sub [***] [***] [***] [***] [***] Jan-2025 [***] **** Substitutions [***] 69678 [***] [***] *(6)(5) 737-8 Sub [***] [***] [***] [***] [***] Feb-2025 [***] **** Substitutions [***] 36986 [***] [***] *(6)(5) 737-8 Sub [***] [***] [***] [***] [***] Feb-2025 [***] **** Substitutions [***] 36982 [***] [***] *(6)(5) 737-8 Sub [***] [***] [***] [***] [***] Mar-2025 [***] **** Substitutions [***] 42630 [***] [***] *(4)(5) 737-8 Sub [***] [***] [***] [***] [***] Mar-2025 [***] **** Substitutions [***] 67325 [***] [***] *(5) 737-8 Sub [***] [***] [***] [***] [***] Mar-2025 [***] **** Substitutions [***] 67326 [***] [***] *(5) 737-8 Sub [***] [***] [***] [***] [***] Feb-2025 [***] **** Substitutions [***] 67468 [***] [***] *(4)(5) 737-8 Sub [***] [***] [***] [***] [***] Feb-2025 [***] **** Substitutions [***] 42677 [***] [***] *(4)(5) 737-8 Sub [***] [***] [***] [***] [***] Feb-2025 [***] **** Substitutions [***] 42692 [***] [***] *(4)(5) 737-8 Sub [***] [***] [***] [***] [***] Feb-2025 [***] **** Substitutions [***] 42676 [***] [***] *(4)(5) 737-8 Sub [***] [***] [***] [***] [***] Mar-2025 [***] **** Substitutions [***] 42696 [***] [***] *(4)(5) 737-8 Sub [***] [***] [***] [***] [***] Mar-2025 [***] **** Substitutions [***] 42700 [***] [***] *(4)(5) 737-8 Sub [***] [***] [***] [***] [***] Mar-2025 [***] **** Substitutions [***] 69922 [***] [***] *(8) (5)737-8 Sub [***] [***] [***] [***] [***] Mar-2025 [***] **** Substitutions [***] 69918 [***] [***] *(6)(5) 737-8 Sub [***] [***] [***] [***] [***] Feb-2025 [***] **** Substitutions [***] 69915 [***] [***] *(6)(5) 737-8 Sub [***] [***] [***] [***] [***] Mar-2025 [***] **** Substitutions [***] 42698 [***] [***] *(4)(5) 737-8 Sub [***] [***] [***] [***] [***] Mar-2025 [***] **** Substitutions [***] 69919 [***] [***] *(6)(5) 737-8 Sub [***] [***] [***] [***] [***] Mar-2025 [***] **** Substitutions [***] 69921 [***] [***] *(6)(5) 737-8 Sub [***] [***] [***] [***] [***] Mar-2025 [***] **** Substitutions [***] 69920 [***] [***] *(6)(5) 737-8 Sub [***] [***] [***] [***] [***] Apr-2025 [***] **** Substitutions [***] 42701 [***] [***] *(4)(5) 737-8 Sub [***] [***] [***] [***] [***] Apr-2025 [***] **** Substitutions [***] 36978 [***] [***] *(4)(5) 737-8 Sub [***] [***] [***] [***] [***] Apr-2025 [***] **** Substitutions [***] 42702 [***] [***] *(4)(5) 737-8 Sub [***] [***] [***] [***] [***] Apr-2025 [***] **** Substitutions [***] 67319 [***] [***] *(5) 737-8 Sub [***] [***] [***] [***] [***] May-2025 [***] **** Substitutions [***] 68933 [***] [***] *(4)(5) 737-8 Sub [***] [***] [***] [***] [***] May-2025 [***] **** Substitutions [***] 67321 [***] [***] *(5) 737-8 Sub [***] [***] [***] [***] [***] May-2025 [***] **** Substitutions [***] 67320 [***] [***] *(5) 737-8 Sub [***] [***] [***] [***] [***] May-2025 [***] **** Substitutions [***] 68934 [***] [***] *(5) / *(4) [***] [***] [***] [***] [***] May-2025 [***] **** Substitutions [***] 67322 [***] [***] *(5) [***] [***] [***] [***] [***] SWA-PA-03729 107953-1F 116795-1F 116953-1F 118300-1F Boeing Proprietary SA-25 Page 6


 
Table 1B To Purchase Agreement No. PA-03729 Aircraft Delivery, Description, Price and Advance Payments 737-7 Aircraft Invoice Escalation Manufacturer Escalation Estimate Advance Payment Per Aircraft (Amts. Due/Mos. Prior to Delivery): Delivery Escalation Number of Factor (3.3) Serial Escalation Adv. Payment Base At Signing 24 Mos. 21/18/12/9/6 Mos. Total Date*(1)(11) Date (3.2) Aircraft (Airframe) Number*(2) Factor Forecast [***] Note Price Per A/P [***] [***] [***] [***] Jun-2025 [***] **** Substitutions [***] 42624 [***] [***] *(5) / *(4) [***] [***] [***] [***] [***] Jun-2025 [***] **** Substitutions [***] 67323 [***] [***] *(5) [***] [***] [***] [***] [***] Jun-2025 [***] **** Substitutions [***] 67324 [***] [***] *(5) [***] [***] [***] [***] [***] Aug-2025 [***] **** Substitutions [***] 69010 [***] [***] *(5) / *(4) [***] [***] [***] [***] [***] Aug-2025 [***] **** Substitutions [***] 67328 [***] [***] *(5) [***] [***] [***] [***] [***] Aug-2025 [***] **** Substitutions [***] 67327 [***] [***] *(5) [***] [***] [***] [***] [***] Aug-2025 [***] **** Substitutions [***] 67339 [***] [***] *(5) [***] [***] [***] [***] [***] Aug-2025 [***] **** Substitutions [***] 67404 [***] [***] *(5) [***] [***] [***] [***] [***] Aug-2025 [***] **** Substitutions [***] 69040 [***] [***] *(5) / *(4) [***] [***] [***] [***] [***] Sep-2025 [***] **** Substitutions [***] 67330 [***] [***] *(5) [***] [***] [***] [***] [***] Sep-2025 [***] **** Substitutions [***] 67329 [***] [***] *(5) [***] [***] [***] [***] [***] Sep-2025 [***] **** Substitutions [***] 69012 [***] [***] *(5)/ *(4) 737-8 Sub [***] [***] [***] [***] [***] Oct-2025 [***] **** Substitutions [***] 67333 [***] [***] *(5) [***] [***] [***] [***] [***] Oct-2025 [***] **** Substitutions [***] 67331 [***] [***] *(5) [***] [***] [***] [***] [***] Oct-2025 [***] **** Substitutions [***] 67332 [***] [***] *(5) [***] [***] [***] [***] [***] Oct-2025 [***] **** Substitutions [***] 70443 [***] [***] *(5)/ *(6) [***] [***] [***] [***] [***] Oct-2025 [***] **** Substitutions [***] 70543 [***] [***] *(5)/ *(8) [***] [***] [***] [***] [***] Oct-2025 [***] **** Substitutions [***] 70544 [***] [***] *(5)/ *(8) [***] [***] [***] [***] [***] Oct-2025 [***] **** Substitutions [***] 70545 [***] [***] *(5)/ *(8) [***] [***] [***] [***] [***] Oct-2025 [***] **** Substitutions [***] 70546 [***] [***] *(5)/ *(8) [***] [***] [***] [***] [***] Oct-2025 [***] **** Substitutions [***] 70444 [***] [***] *(5)/ *(6) [***] [***] [***] [***] [***] Nov-2025 [***] **** Substitutions [***] 69014 [***] [***] *(5)/ *(4) 737-8 Sub/ *(9) Resch [***] [***] [***] [***] [***] Nov-2025 [***] **** Substitutions [***] 69015 [***] [***] *(5)/ *(4) 737-8 Sub/ *(9) Resch [***] [***] [***] [***] [***] Nov-2025 [***] **** Substitutions [***] 42625 [***] [***] *(5)/ *(4) 737-8 Sub/ *(9) Resch [***] [***] [***] [***] [***] Nov-2025 [***] **** Substitutions [***] 67335 [***] [***] *(5)/ *(9) Reschedule Rights No [***] [***] [***] [***] [***] Nov-2025 [***] **** Substitutions [***] 67334 [***] [***] *(5)/ *(9) Reschedule Rights No [***] [***] [***] [***] [***] Nov-2025 [***] **** Substitutions [***] 70629 [***] [***] *(5)/ *(8) [***] [***] [***] [***] [***] Nov-2025 [***] **** Substitutions [***] 70631 [***] [***] *(5)/ *(8) [***] [***] [***] [***] [***] Nov-2025 [***] **** Substitutions [***] 70633 [***] [***] *(5)/ *(8) [***] [***] [***] [***] [***] Nov-2025 [***] **** Substitutions [***] 69013 [***] [***] *(5)/ *(4) 737-8 Sub/ *(9) Resch [***] [***] [***] [***] [***] Nov-2025 [***] **** Substitutions [***] 70632 [***] [***] *(5)/ *(8) [***] [***] [***] [***] [***] Nov-2025 [***] **** Substitutions [***] 70634 [***] [***] *(5)/ *(8) [***] [***] [***] [***] [***] Dec-2025 [***] **** Substitutions [***] 67338 [***] [***] *(5)/ *(9) Reschedule Rights No [***] [***] [***] [***] [***] Dec-2025 [***] **** Substitutions [***] 67337 [***] [***] *(5)/ *(9) Reschedule Rights No [***] [***] [***] [***] [***] Dec-2025 [***] **** Substitutions [***] 67336 [***] [***] *(5)/ *(9) Reschedule Rights No [***] [***] [***] [***] [***] Dec-2025 [***] **** Substitutions [***] 70688 [***] [***] *(5)/ *(8) [***] [***] [***] [***] [***] Dec-2025 [***] **** Substitutions [***] 70689 [***] [***] *(5)/ *(8) [***] [***] [***] [***] [***] SWA-PA-03729 107953-1F 116795-1F 116953-1F 118300-1F Boeing Proprietary SA-25 Page 7


 
Table 1B To Purchase Agreement No. PA-03729 Aircraft Delivery, Description, Price and Advance Payments 737-7 Aircraft Invoice Escalation Manufacturer Escalation Estimate Advance Payment Per Aircraft (Amts. Due/Mos. Prior to Delivery): Delivery Escalation Number of Factor (3.3) Serial Escalation Adv. Payment Base At Signing 24 Mos. 21/18/12/9/6 Mos. Total Date*(1)(11) Date (3.2) Aircraft (Airframe) Number*(2) Factor Forecast [***] Note Price Per A/P [***] [***] [***] [***] Dec-2025 [***] **** Substitutions [***] 70690 [***] [***] *(5)/ *(8) [***] [***] [***] [***] [***] Dec-2025 [***] **** Substitutions [***] 42639 [***] [***] *(5)/ *(4) 737-8 Sub/ *(9) Resch [***] [***] [***] [***] [***] Dec-2025 [***] **** Substitutions [***] 42636 [***] [***] *(5)/ *(4) 737-8 Sub/ *(9) Resch [***] [***] [***] [***] [***] Dec-2025 [***] **** Substitutions [***] 69036 [***] [***] *(5)/ *(4) 737-8 Sub/ *(9) Resch [***] [***] [***] [***] [***] Jan-2026 [***] 1 [***] 42613 [***] [***] [***] [***] [***] [***] [***] Jan-2026 [***] 1 [***] 42616 [***] [***] *(4) 737-8 Sub [***] [***] [***] [***] [***] Jan-2026 [***] 1 [***] 42618 [***] [***] *(4) 737-8 Sub [***] [***] [***] [***] [***] Jan-2026 [***] **** Substitutions [***] 69041 [***] [***] *(5)/ *(4) 737-8 Sub [***] [***] [***] [***] [***] Jan-2026 [***] **** Substitutions [***] 70698 [***] [***] *(5)/ *(8) [***] [***] [***] [***] [***] Jan-2026 [***] **** Substitutions [***] 70630 [***] [***] *(5)/ *(8) [***] [***] [***] [***] [***] Feb-2026 [***] **** Substitutions [***] 69043 [***] [***] *(5)/ *(4) 737-8 Sub [***] [***] [***] [***] [***] Feb-2026 [***] **** Substitutions [***] 69044 [***] [***] *(5)/ *(4) 737-8 Sub [***] [***] [***] [***] [***] Feb-2026 [***] **** Substitutions [***] 67340 [***] [***] *(5) [***] [***] [***] [***] [***] Feb-2026 [***] **** Substitutions [***] 67405 [***] [***] *(5) [***] [***] [***] [***] [***] Feb-2026 [***] **** Substitutions [***] 70687 [***] [***] *(5)/ *(8) [***] [***] [***] [***] [***] Mar-2026 [***] **** Substitutions [***] 42640 [***] [***] *(5)/ *(4) 737-8 Sub [***] [***] [***] [***] [***] Mar-2026 [***] **** Substitutions [***] 70699 [***] [***] *(5)/ *(8) [***] [***] [***] [***] [***] Mar-2026 [***] **** Substitutions [***] 70697 [***] [***] *(12)/ *(8) [***] [***] [***] [***] [***] Mar-2026 [***] **** Substitutions [***] 42628 [***] [***] *(5)/ *(4) 737-8 Sub [***] [***] [***] [***] [***] Mar-2026 [***] **** Substitutions [***] 67342 [***] [***] *(12) [***] [***] [***] [***] [***] Mar-2026 [***] **** Substitutions [***] 67341 [***] [***] *(12) [***] [***] [***] [***] [***] Mar-2026 [***] **** Substitutions [***] 67407 [***] [***] *(12) [***] [***] [***] [***] [***] Mar-2026 [***] **** Substitutions [***] 67406 [***] [***] *(12) [***] [***] [***] [***] [***] Apr-2026 [***] **** Substitutions [***] 69426 [***] [***] *(12)/ *(4) 737-8 Sub [***] [***] [***] [***] [***] Apr-2026 [***] **** Substitutions [***] 67343 [***] [***] *(12) [***] [***] [***] [***] [***] Apr-2026 [***] **** Substitutions [***] 67408 [***] [***] *(12) [***] [***] [***] [***] [***] Apr-2026 [***] **** Substitutions [***] 69431 [***] [***] *(12)/ *(4) 737-8 Sub [***] [***] [***] [***] [***] Apr-2026 [***] **** Substitutions [***] 69427 [***] [***] *(12)/ *(4) 737-8 Sub [***] [***] [***] [***] [***] Apr-2026 [***] **** Substitutions [***] 70811 [***] [***] *(12)/ *(8) [***] [***] [***] [***] [***] Apr-2026 [***] **** Substitutions [***] 70812 [***] [***] *(12)/ *(8) [***] [***] [***] [***] [***] Apr-2026 [***] **** Substitutions [***] 70813 [***] [***] *(12)/ *(8) [***] [***] [***] [***] [***] Apr-2026 [***] **** Substitutions [***] 70814 [***] [***] *(12)/ *(8) [***] [***] [***] [***] [***] May-2026 [***] **** Substitutions [***] 42645 [***] [***] *(4) 737-8 Sub [***] [***] [***] [***] [***] May-2026 [***] 1 [***] 67345 [***] [***] [***] [***] [***] [***] [***] May-2026 [***] **** Substitutions [***] 67344 [***] [***] *(12) [***] [***] [***] [***] [***] May-2026 [***] **** Substitutions [***] 69432 [***] [***] *(12)/ *(4) 737-8 Sub [***] [***] [***] [***] [***] May-2026 [***] **** Substitutions [***] 67409 [***] [***] *(12) [***] [***] [***] [***] [***] SWA-PA-03729 107953-1F 116795-1F 116953-1F 118300-1F Boeing Proprietary SA-25 Page 8


 
Table 1B To Purchase Agreement No. PA-03729 Aircraft Delivery, Description, Price and Advance Payments 737-7 Aircraft Invoice Escalation Manufacturer Escalation Estimate Advance Payment Per Aircraft (Amts. Due/Mos. Prior to Delivery): Delivery Escalation Number of Factor (3.3) Serial Escalation Adv. Payment Base At Signing 24 Mos. 21/18/12/9/6 Mos. Total Date*(1)(11) Date (3.2) Aircraft (Airframe) Number*(2) Factor Forecast [***] Note Price Per A/P [***] [***] [***] [***] May-2026 [***] **** Substitutions [***] 67410 [***] [***] *(12) [***] [***] [***] [***] [***] May-2026 [***] **** Substitutions [***] 70846 [***] [***] *(12)/ *(10) [***] [***] [***] [***] [***] May-2026 [***] 1 [***] 70847 [***] [***] *(10) [***] [***] [***] [***] [***] Jun-2026 [***] 1 [***] 42644 [***] [***] *(4) 737-8 Sub [***] [***] [***] [***] [***] Jun-2026 [***] 1 [***] 42643 [***] [***] *(4) 737-8 Sub [***] [***] [***] [***] [***] Jun-2026 [***] 1 [***] 67411 [***] [***] [***] [***] [***] [***] [***] Jun-2026 [***] 1 [***] 69006 [***] [***] *(4) 737-8 Sub [***] [***] [***] [***] [***] Jun-2026 [***] 1 [***] 67346 [***] [***] [***] [***] [***] [***] [***] Jun-2026 [***] 1 [***] 70860 [***] [***] *(10) [***] [***] [***] [***] [***] Jun-2026 [***] 1 [***] 70861 [***] [***] *(10) [***] [***] [***] [***] [***] Jun-2026 [***] 1 [***] 70862 [***] [***] *(10) [***] [***] [***] [***] [***] Jul-2026 [***] 1 [***] 69008 [***] [***] *(4) 737-8 Sub [***] [***] [***] [***] [***] Jul-2026 [***] 1 [***] 69007 [***] [***] *(4) 737-8 Sub [***] [***] [***] [***] [***] Jul-2026 [***] 1 [***] 69009 [***] [***] *(4) 737-8 Sub [***] [***] [***] [***] [***] Jul-2026 [***] 1 [***] 67347 [***] [***] [***] [***] [***] [***] [***] Jul-2026 [***] 1 [***] 67412 [***] [***] [***] [***] [***] [***] [***] Jul-2026 [***] 1 [***] 71052 [***] [***] *(10) [***] [***] [***] [***] [***] Jul-2026 [***] 1 [***] 71053 [***] [***] *(10) [***] [***] [***] [***] [***] Jul-2026 [***] 1 [***] 71054 [***] [***] *(10) [***] [***] [***] [***] [***] Aug-2026 [***] 1 [***] 69011 [***] [***] *(4) 737-8 Sub [***] [***] [***] [***] [***] Aug-2026 [***] 1 [***] 69016 [***] [***] *(4) 737-8 Sub [***] [***] [***] [***] [***] Aug-2026 [***] 1 [***] 42659 [***] [***] *(4) 737-8 Sub [***] [***] [***] [***] [***] Aug-2026 [***] 1 [***] 67413 [***] [***] [***] [***] [***] [***] [***] Aug-2026 [***] 1 [***] 67348 [***] [***] [***] [***] [***] [***] [***] Aug-2026 [***] 1 [***] 71056 [***] [***] *(8) [***] [***] [***] [***] [***] Aug-2026 [***] 1 [***] 71057 [***] [***] *(8) [***] [***] [***] [***] [***] Aug-2026 [***] 1 [***] 71058 [***] [***] *(8) [***] [***] [***] [***] [***] Sep-2026 [***] 1 [***] 42660 [***] [***] *(4) 737-8 Sub [***] [***] [***] [***] [***] Sep-2026 [***] 1 [***] 69037 [***] [***] *(4) 737-8 Sub [***] [***] [***] [***] [***] Sep-2026 [***] 1 [***] 69038 [***] [***] *(4) 737-8 Sub [***] [***] [***] [***] [***] Sep-2026 [***] 1 [***] 67349 [***] [***] [***] [***] [***] [***] [***] Sep-2026 [***] 1 [***] 67414 [***] [***] [***] [***] [***] [***] [***] Sep-2026 [***] 1 [***] 71392 [***] [***] *(8) [***] [***] [***] [***] [***] Sep-2026 [***] 1 [***] 71393 [***] [***] *(8) [***] [***] [***] [***] [***] Sep-2026 [***] 1 [***] 71394 [***] [***] *(8) [***] [***] [***] [***] [***] Oct-2026 [***] 1 [***] 67350 [***] [***] [***] [***] [***] [***] [***] Oct-2026 [***] 1 [***] 67351 [***] [***] [***] [***] [***] [***] [***] SWA-PA-03729 107953-1F 116795-1F 116953-1F 118300-1F Boeing Proprietary SA-25 Page 9


 
Table 1B To Purchase Agreement No. PA-03729 Aircraft Delivery, Description, Price and Advance Payments 737-7 Aircraft Invoice Escalation Manufacturer Escalation Estimate Advance Payment Per Aircraft (Amts. Due/Mos. Prior to Delivery): Delivery Escalation Number of Factor (3.3) Serial Escalation Adv. Payment Base At Signing 24 Mos. 21/18/12/9/6 Mos. Total Date*(1)(11) Date (3.2) Aircraft (Airframe) Number*(2) Factor Forecast [***] Note Price Per A/P [***] [***] [***] [***] Oct-2026 [***] 1 [***] 69039 [***] [***] *(4) 737-8 Sub [***] [***] [***] [***] [***] Oct-2026 [***] 1 [***] 69042 [***] [***] *(4) 737-8 Sub [***] [***] [***] [***] [***] Oct-2026 [***] 1 [***] 67416 [***] [***] [***] [***] [***] [***] [***] Oct-2026 [***] 1 [***] 67415 [***] [***] [***] [***] [***] [***] [***] Nov-2026 [***] 1 [***] 71521 [***] [***] *(8) [***] [***] [***] [***] [***] Nov-2026 [***] 1 [***] 71522 [***] [***] *(8) [***] [***] [***] [***] [***] Nov-2026 [***] 1 [***] 69045 [***] [***] *(4) 737-8 Sub [***] [***] [***] [***] [***] Nov-2026 [***] 1 [***] 42663 [***] [***] *(4) 737-8 Sub [***] [***] [***] [***] [***] Nov-2026 [***] 1 [***] 67352 [***] [***] [***] [***] [***] [***] [***] Nov-2026 [***] 1 [***] 67417 [***] [***] [***] [***] [***] [***] [***] Dec-2026 [***] 1 [***] 69424 [***] [***] *(4) 737-8 Sub [***] [***] [***] [***] [***] Dec-2026 [***] 1 [***] 67353 [***] [***] [***] [***] [***] [***] [***] Dec-2026 [***] 1 [***] 67418 [***] [***] [***] [***] [***] [***] [***] Dec-2026 [***] 1 [***] 42667 [***] [***] *(4) 737-8 Sub [***] [***] [***] [***] [***] Dec-2026 [***] 1 [***] 71531 [***] [***] *(8) [***] [***] [***] [***] [***] Dec-2026 [***] 1 [***] 71532 [***] [***] *(8) [***] [***] [***] [***] [***] Jan-2027 [***] 1 [***] 67354 [***] [***] [***] [***] [***] [***] [***] Jan-2027 [***] 1 [***] 71600 [***] [***] *(8) [***] [***] [***] [***] [***] Jan-2027 [***] 1 [***] 71601 [***] [***] *(8) [***] [***] [***] [***] [***] Feb-2027 [***] 1 [***] 67355 [***] [***] [***] [***] [***] [***] [***] Feb-2027 [***] 1 [***] 71610 [***] [***] *(8) [***] [***] [***] [***] [***] Feb-2027 [***] 1 [***] 71611 [***] [***] *(8) [***] [***] [***] [***] [***] Mar-2027 [***] 1 [***] 67357 [***] [***] [***] [***] [***] [***] [***] Mar-2027 [***] 1 [***] 67356 [***] [***] [***] [***] [***] [***] [***] Mar-2027 [***] 1 [***] 71769 [***] [***] *(8) [***] [***] [***] [***] [***] Mar-2027 [***] 1 [***] 71770 [***] [***] *(8) [***] [***] [***] [***] [***] Apr-2027 [***] 1 [***] 67358 [***] [***] [***] [***] [***] [***] [***] Apr-2027 [***] 1 [***] 69425 [***] [***] *(4) 737-8 Sub [***] [***] [***] [***] [***] Apr-2027 [***] 1 [***] 36991 [***] [***] *(6) [***] [***] [***] [***] [***] Apr-2027 [***] 1 [***] 36996 [***] [***] *(6) [***] [***] [***] [***] [***] May-2027 [***] 1 [***] 69428 [***] [***] *(4) 737-8 Sub [***] [***] [***] [***] [***] May-2027 [***] 1 [***] 67359 [***] [***] [***] [***] [***] [***] [***] May-2027 [***] 1 [***] 67360 [***] [***] [***] [***] [***] [***] [***] May-2027 [***] 1 [***] 72030 [***] [***] *(6) [***] [***] [***] [***] [***] May-2027 [***] 1 [***] 72031 [***] [***] *(6) [***] [***] [***] [***] [***] Jun-2027 [***] 1 [***] 67361 [***] [***] [***] [***] [***] [***] [***] Jun-2027 [***] 1 [***] 72061 [***] [***] *(6) [***] [***] [***] [***] [***] SWA-PA-03729 107953-1F 116795-1F 116953-1F 118300-1F Boeing Proprietary SA-25 Page 10


 
Table 1B To Purchase Agreement No. PA-03729 Aircraft Delivery, Description, Price and Advance Payments 737-7 Aircraft Invoice Escalation Manufacturer Escalation Estimate Advance Payment Per Aircraft (Amts. Due/Mos. Prior to Delivery): Delivery Escalation Number of Factor (3.3) Serial Escalation Adv. Payment Base At Signing 24 Mos. 21/18/12/9/6 Mos. Total Date*(1)(11) Date (3.2) Aircraft (Airframe) Number*(2) Factor Forecast [***] Note Price Per A/P [***] [***] [***] [***] Jun-2027 [***] 1 [***] 72062 [***] [***] *(8) [***] [***] [***] [***] [***] Jul-2027 [***] 1 [***] 67362 [***] [***] [***] [***] [***] [***] [***] Aug-2027 [***] 1 [***] 67363 [***] [***] [***] [***] [***] [***] [***] Sep-2027 [***] 1 [***] 67364 [***] [***] [***] [***] [***] [***] [***] Oct-2027 [***] 1 [***] 69429 [***] [***] *(4) 737-8 Sub [***] [***] [***] [***] [***] Oct-2027 [***] 1 [***] 67366 [***] [***] [***] [***] [***] [***] [***] Oct-2027 [***] 1 [***] 67365 [***] [***] [***] [***] [***] [***] [***] Nov-2027 [***] 1 [***] 67367 [***] [***] [***] [***] [***] [***] [***] Nov-2027 [***] 1 [***] 69430 [***] [***] *(4) 737-8 Sub [***] [***] [***] [***] [***] Dec-2027 [***] 1 [***] 67368 [***] [***] [***] [***] [***] [***] [***] Jan-2028 [***] 1 [***] 67369 [***] [***] [***] [***] [***] [***] [***] Feb-2028 [***] 1 [***] 67370 [***] [***] [***] [***] [***] [***] [***] Mar-2028 [***] 1 [***] 67372 [***] [***] [***] [***] [***] [***] [***] Mar-2028 [***] 1 [***] 67371 [***] [***] [***] [***] [***] [***] [***] Apr-2028 [***] 1 [***] 67373 [***] [***] [***] [***] [***] [***] [***] May-2028 [***] 1 [***] 67375 [***] [***] [***] [***] [***] [***] [***] May-2028 [***] 1 [***] 67374 [***] [***] [***] [***] [***] [***] [***] Jun-2028 [***] 1 [***] 67376 [***] [***] [***] [***] [***] [***] [***] Jul-2028 [***] 1 [***] 67377 [***] [***] [***] [***] [***] [***] [***] Aug-2028 [***] 1 [***] 67378 [***] [***] [***] [***] [***] [***] [***] Sep-2028 [***] 1 [***] 67379 [***] [***] [***] [***] [***] [***] [***] Oct-2028 [***] 1 [***] 67381 [***] [***] [***] [***] [***] [***] [***] Oct-2028 [***] 1 [***] 67380 [***] [***] [***] [***] [***] [***] [***] Nov-2028 [***] 1 [***] 67382 [***] [***] [***] [***] [***] [***] [***] Dec-2028 [***] 1 [***] 67383 [***] [***] [***] [***] [***] [***] [***] Jan-2029 [***] 1 [***] 67385 [***] [***] [***] [***] [***] [***] [***] Jan-2029 [***] 1 [***] 67384 [***] [***] [***] [***] [***] [***] [***] Jan-2029 [***] 1 [***] 69679 [***] [***] *(7) 737-7 (2023) Firm [***] [***] [***] [***] [***] Jan-2029 [***] 1 [***] 69680 [***] [***] *(7) 737-7 (2023) Firm [***] [***] [***] [***] [***] Jan-2029 [***] 1 [***] 69681 [***] [***] *(7) 737-7 (2023) Firm [***] [***] [***] [***] [***] Feb-2029 [***] 1 [***] 67386 [***] [***] [***] [***] [***] [***] [***] Feb-2029 [***] 1 [***] 69682 [***] [***] *(7) 737-7 (2023) Firm [***] [***] [***] [***] [***] Feb-2029 [***] 1 [***] 69683 [***] [***] *(7) 737-7 (2023) Firm [***] [***] [***] [***] [***] Feb-2029 [***] 1 [***] 69684 [***] [***] *(7) 737-7 (2023) Firm [***] [***] [***] [***] [***] Mar-2029 [***] 1 [***] 67387 [***] [***] [***] [***] [***] [***] [***] Mar-2029 [***] 1 [***] 67388 [***] [***] [***] [***] [***] [***] [***] Mar-2029 [***] 1 [***] 69685 [***] [***] *(7) 737-7 (2023) Firm [***] [***] [***] [***] [***] SWA-PA-03729 107953-1F 116795-1F 116953-1F 118300-1F Boeing Proprietary SA-25 Page 11


 
Table 1B To Purchase Agreement No. PA-03729 Aircraft Delivery, Description, Price and Advance Payments 737-7 Aircraft Invoice Escalation Manufacturer Escalation Estimate Advance Payment Per Aircraft (Amts. Due/Mos. Prior to Delivery): Delivery Escalation Number of Factor (3.3) Serial Escalation Adv. Payment Base At Signing 24 Mos. 21/18/12/9/6 Mos. Total Date*(1)(11) Date (3.2) Aircraft (Airframe) Number*(2) Factor Forecast [***] Note Price Per A/P [***] [***] [***] [***] Apr-2029 [***] 1 [***] 67389 [***] [***] [***] [***] [***] [***] [***] Apr-2029 [***] 1 [***] 69686 [***] [***] *(7) 737-7 (2023) Firm [***] [***] [***] [***] [***] Apr-2029 [***] 1 [***] 69687 [***] [***] *(7) 737-7 (2023) Firm [***] [***] [***] [***] [***] May-2029 [***] 1 [***] 67391 [***] [***] [***] [***] [***] [***] [***] May-2029 [***] 1 [***] 67390 [***] [***] [***] [***] [***] [***] [***] May-2029 [***] 1 [***] 69688 [***] [***] *(7) 737-7 (2023) Firm [***] [***] [***] [***] [***] Jun-2029 [***] 1 [***] 67392 [***] [***] [***] [***] [***] [***] [***] Jun-2029 [***] 1 [***] 67393 [***] [***] [***] [***] [***] [***] [***] Jun-2029 [***] 1 [***] 69689 [***] [***] *(7) 737-7 (2023) Firm [***] [***] [***] [***] [***] Jul-2029 [***] 1 [***] 67394 [***] [***] [***] [***] [***] [***] [***] Jul-2029 [***] 1 [***] 67395 [***] [***] [***] [***] [***] [***] [***] Jul-2029 [***] 1 [***] 69690 [***] [***] *(7) 737-7 (2023) Firm [***] [***] [***] [***] [***] Aug-2029 [***] 1 [***] 67396 [***] [***] [***] [***] [***] [***] [***] Aug-2029 [***] 1 [***] 67397 [***] [***] [***] [***] [***] [***] [***] Aug-2029 [***] 1 [***] 69691 [***] [***] *(7) 737-7 (2023) Firm [***] [***] [***] [***] [***] Sep-2029 [***] 1 [***] 67398 [***] [***] [***] [***] [***] [***] [***] Sep-2029 [***] 1 [***] 67399 [***] [***] [***] [***] [***] [***] [***] Sep-2029 [***] 1 [***] 69692 [***] [***] *(7) 737-7 (2023) Firm [***] [***] [***] [***] [***] Oct-2029 [***] 1 [***] 67400 [***] [***] [***] [***] [***] [***] [***] Oct-2029 [***] 1 [***] 69693 [***] [***] *(7) 737-7 (2023) Firm [***] [***] [***] [***] [***] Oct-2029 [***] 1 [***] 69694 [***] [***] *(7) 737-7 (2023) Firm [***] [***] [***] [***] [***] Nov-2029 [***] 1 [***] 67401 [***] [***] [***] [***] [***] [***] [***] Nov-2029 [***] 1 [***] 69695 [***] [***] *(7) 737-7 (2023) Firm [***] [***] [***] [***] [***] Nov-2029 [***] 1 [***] 69696 [***] [***] *(7) 737-7 (2023) Firm [***] [***] [***] [***] [***] Dec-2029 [***] 1 [***] 67403 [***] [***] [***] [***] [***] [***] [***] Dec-2029 [***] 1 [***] 67402 [***] [***] [***] [***] [***] [***] [***] Jan-2030 [***] 1 [***] 69697 [***] [***] *(7) 737-7 (2023) Firm [***] [***] [***] [***] [***] Jan-2030 [***] 1 [***] 69698 [***] [***] *(7) 737-7 (2023) Firm [***] [***] [***] [***] [***] Jan-2030 [***] 1 [***] 69699 [***] [***] *(7) 737-7 (2023) Firm [***] [***] [***] [***] [***] Feb-2030 [***] 1 [***] 69700 [***] [***] *(7) 737-7 (2023) Firm [***] [***] [***] [***] [***] Feb-2030 [***] 1 [***] 69701 [***] [***] *(7) 737-7 (2023) Firm [***] [***] [***] [***] [***] Feb-2030 [***] 1 [***] 69702 [***] [***] *(7) 737-7 (2023) Firm [***] [***] [***] [***] [***] Feb-2030 [***] 1 [***] 69703 [***] [***] *(7) 737-7 (2023) Firm [***] [***] [***] [***] [***] Mar-2030 [***] 1 [***] 69704 [***] [***] *(7) 737-7 (2023) Firm [***] [***] [***] [***] [***] Mar-2030 [***] 1 [***] 69705 [***] [***] *(7) 737-7 (2023) Firm [***] [***] [***] [***] [***] Mar-2030 [***] 1 [***] 69706 [***] [***] *(7) 737-7 (2023) Firm [***] [***] [***] [***] [***] Mar-2030 [***] 1 [***] 69707 [***] [***] *(7) 737-7 (2023) Firm [***] [***] [***] [***] [***] SWA-PA-03729 107953-1F 116795-1F 116953-1F 118300-1F Boeing Proprietary SA-25 Page 12


 
Table 1B To Purchase Agreement No. PA-03729 Aircraft Delivery, Description, Price and Advance Payments 737-7 Aircraft Invoice Escalation Manufacturer Escalation Estimate Advance Payment Per Aircraft (Amts. Due/Mos. Prior to Delivery): Delivery Escalation Number of Factor (3.3) Serial Escalation Adv. Payment Base At Signing 24 Mos. 21/18/12/9/6 Mos. Total Date*(1)(11) Date (3.2) Aircraft (Airframe) Number*(2) Factor Forecast [***] Note Price Per A/P [***] [***] [***] [***] Apr-2030 [***] 1 [***] 69708 [***] [***] *(7) 737-7 (2023) Firm [***] [***] [***] [***] [***] Apr-2030 [***] 1 [***] 69709 [***] [***] *(7) 737-7 (2023) Firm [***] [***] [***] [***] [***] Apr-2030 [***] 1 [***] 69710 [***] [***] *(7) 737-7 (2023) Firm [***] [***] [***] [***] [***] Apr-2030 [***] 1 [***] 69711 [***] [***] *(7) 737-7 (2023) Firm [***] [***] [***] [***] [***] May-2030 [***] 1 [***] 69712 [***] [***] *(7) 737-7 (2023) Firm [***] [***] [***] [***] [***] May-2030 [***] 1 [***] 69713 [***] [***] *(7) 737-7 (2023) Firm [***] [***] [***] [***] [***] May-2030 [***] 1 [***] 69714 [***] [***] *(7) 737-7 (2023) Firm [***] [***] [***] [***] [***] May-2030 [***] 1 [***] 69715 [***] [***] *(7) 737-7 (2023) Firm [***] [***] [***] [***] [***] Jun-2030 [***] 1 [***] 69716 [***] [***] *(7) 737-7 (2023) Firm [***] [***] [***] [***] [***] Jun-2030 [***] 1 [***] 69717 [***] [***] *(7) 737-7 (2023) Firm [***] [***] [***] [***] [***] Jun-2030 [***] 1 [***] 69718 [***] [***] *(7) 737-7 (2023) Firm [***] [***] [***] [***] [***] Jun-2030 [***] 1 [***] 69719 [***] [***] *(7) 737-7 (2023) Firm [***] [***] [***] [***] [***] Jul-2030 [***] 1 [***] 69720 [***] [***] *(7) 737-7 (2023) Firm [***] [***] [***] [***] [***] Jul-2030 [***] 1 [***] 69721 [***] [***] *(7) 737-7 (2023) Firm [***] [***] [***] [***] [***] Jul-2030 [***] 1 [***] 69722 [***] [***] *(7) 737-7 (2023) Firm [***] [***] [***] [***] [***] Jul-2030 [***] 1 [***] 69723 [***] [***] *(7) 737-7 (2023) Firm [***] [***] [***] [***] [***] Aug-2030 [***] 1 [***] 69724 [***] [***] *(7) 737-7 (2023) Firm [***] [***] [***] [***] [***] Aug-2030 [***] 1 [***] 69725 [***] [***] *(7) 737-7 (2023) Firm [***] [***] [***] [***] [***] Aug-2030 [***] 1 [***] 69726 [***] [***] *(7) 737-7 (2023) Firm [***] [***] [***] [***] [***] Aug-2030 [***] 1 [***] 69727 [***] [***] *(7) 737-7 (2023) Firm [***] [***] [***] [***] [***] Sep-2030 [***] 1 [***] 69728 [***] [***] *(7) 737-7 (2023) Firm [***] [***] [***] [***] [***] Sep-2030 [***] 1 [***] 69729 [***] [***] *(7) 737-7 (2023) Firm [***] [***] [***] [***] [***] Sep-2030 [***] 1 [***] 69730 [***] [***] *(7) 737-7 (2023) Firm [***] [***] [***] [***] [***] Sep-2030 [***] 1 [***] 69731 [***] [***] *(7) 737-7 (2023) Firm [***] [***] [***] [***] [***] Oct-2030 [***] 1 [***] 69732 [***] [***] *(7) 737-7 (2023) Firm [***] [***] [***] [***] [***] Oct-2030 [***] 1 [***] 69733 [***] [***] *(7) 737-7 (2023) Firm [***] [***] [***] [***] [***] Oct-2030 [***] 1 [***] 69734 [***] [***] *(7) 737-7 (2023) Firm [***] [***] [***] [***] [***] Oct-2030 [***] 1 [***] 69735 [***] [***] *(7) 737-7 (2023) Firm [***] [***] [***] [***] [***] Nov-2030 [***] 1 [***] 69736 [***] [***] *(7) 737-7 (2023) Firm [***] [***] [***] [***] [***] Nov-2030 [***] 1 [***] 69737 [***] [***] *(7) 737-7 (2023) Firm [***] [***] [***] [***] [***] Nov-2030 [***] 1 [***] 69738 [***] [***] *(7) 737-7 (2023) Firm [***] [***] [***] [***] [***] Dec-2030 [***] 1 [***] 69739 [***] [***] *(7) 737-7 (2023) Firm [***] [***] [***] [***] [***] Dec-2030 [***] 1 [***] 69740 [***] [***] *(7) 737-7 (2023) Firm [***] [***] [***] [***] [***] Dec-2030 [***] 1 [***] 69741 [***] [***] *(7) 737-7 (2023) Firm [***] [***] [***] [***] [***] Jan-2031 [***] 1 [***] 69742 [***] [***] *(7) 737-7 (2023) Firm [***] [***] [***] [***] [***] Jan-2031 [***] 1 [***] 69743 [***] [***] *(7) 737-7 (2023) Firm [***] [***] [***] [***] [***] Jan-2031 [***] 1 [***] 69744 [***] [***] *(7) 737-7 (2023) Firm [***] [***] [***] [***] [***] SWA-PA-03729 107953-1F 116795-1F 116953-1F 118300-1F Boeing Proprietary SA-25 Page 13


 
Table 1B To Purchase Agreement No. PA-03729 Aircraft Delivery, Description, Price and Advance Payments 737-7 Aircraft Invoice Escalation Manufacturer Escalation Estimate Advance Payment Per Aircraft (Amts. Due/Mos. Prior to Delivery): Delivery Escalation Number of Factor (3.3) Serial Escalation Adv. Payment Base At Signing 24 Mos. 21/18/12/9/6 Mos. Total Date*(1)(11) Date (3.2) Aircraft (Airframe) Number*(2) Factor Forecast [***] Note Price Per A/P [***] [***] [***] [***] Feb-2031 [***] 1 [***] 69745 [***] [***] *(7) 737-7 (2023) Firm [***] [***] [***] [***] [***] Feb-2031 [***] 1 [***] 69746 [***] [***] *(7) 737-7 (2023) Firm [***] [***] [***] [***] [***] Feb-2031 [***] 1 [***] 69747 [***] [***] *(7) 737-7 (2023) Firm [***] [***] [***] [***] [***] Feb-2031 [***] 1 [***] 69748 [***] [***] *(7) 737-7 (2023) Firm [***] [***] [***] [***] [***] Mar-2031 [***] 1 [***] 69749 [***] [***] *(7) 737-7 (2023) Firm [***] [***] [***] [***] [***] Mar-2031 [***] 1 [***] 69750 [***] [***] *(7) 737-7 (2023) Firm [***] [***] [***] [***] [***] Mar-2031 [***] 1 [***] 69751 [***] [***] *(7) 737-7 (2023) Firm [***] [***] [***] [***] [***] Mar-2031 [***] 1 [***] 69752 [***] [***] *(7) 737-7 (2023) Firm [***] [***] [***] [***] [***] Apr-2031 [***] 1 [***] 69753 [***] [***] *(7) 737-7 (2023) Firm [***] [***] [***] [***] [***] Apr-2031 [***] 1 [***] 69754 [***] [***] *(7) 737-7 (2023) Firm [***] [***] [***] [***] [***] Apr-2031 [***] 1 [***] 69755 [***] [***] *(7) 737-7 (2023) Firm [***] [***] [***] [***] [***] Apr-2031 [***] 1 [***] 69756 [***] [***] *(7) 737-7 (2023) Firm [***] [***] [***] [***] [***] May-2031 [***] 1 [***] 69757 [***] [***] *(7) 737-7 (2023) Firm [***] [***] [***] [***] [***] May-2031 [***] 1 [***] 69758 [***] [***] *(7) 737-7 (2023) Firm [***] [***] [***] [***] [***] May-2031 [***] 1 [***] 69759 [***] [***] *(7) 737-7 (2023) Firm [***] [***] [***] [***] [***] May-2031 [***] 1 [***] 69760 [***] [***] *(7) 737-7 (2023) Firm [***] [***] [***] [***] [***] Jun-2031 [***] 1 [***] 69761 [***] [***] *(7) 737-7 (2023) Firm [***] [***] [***] [***] [***] Jun-2031 [***] 1 [***] 69762 [***] [***] *(7) 737-7 (2023) Firm [***] [***] [***] [***] [***] Jun-2031 [***] 1 [***] 69763 [***] [***] *(7) 737-7 (2023) Firm [***] [***] [***] [***] [***] Jun-2031 [***] 1 [***] 69764 [***] [***] *(7) 737-7 (2023) Firm [***] [***] [***] [***] [***] Jul-2031 [***] 1 [***] 69765 [***] [***] *(7) 737-7 (2023) Firm [***] [***] [***] [***] [***] Jul-2031 [***] 1 [***] 69766 [***] [***] *(7) 737-7 (2023) Firm [***] [***] [***] [***] [***] Jul-2031 [***] 1 [***] 69767 [***] [***] *(7) 737-7 (2023) Firm [***] [***] [***] [***] [***] Jul-2031 [***] 1 [***] 69768 [***] [***] *(7) 737-7 (2023) Firm [***] [***] [***] [***] [***] Aug-2031 [***] 1 [***] 69769 [***] [***] *(7) 737-7 (2023) Firm [***] [***] [***] [***] [***] Aug-2031 [***] 1 [***] 69770 [***] [***] *(7) 737-7 (2023) Firm [***] [***] [***] [***] [***] Aug-2031 [***] 1 [***] 69771 [***] [***] *(7) 737-7 (2023) Firm [***] [***] [***] [***] [***] Aug-2031 [***] 1 [***] 69772 [***] [***] *(7) 737-7 (2023) Firm [***] [***] [***] [***] [***] Sep-2031 [***] 1 [***] 69773 [***] [***] *(7) 737-7 (2023) Firm [***] [***] [***] [***] [***] Sep-2031 [***] 1 [***] 69774 [***] [***] *(7) 737-7 (2023) Firm [***] [***] [***] [***] [***] Sep-2031 [***] 1 [***] 69775 [***] [***] *(7) 737-7 (2023) Firm [***] [***] [***] [***] [***] Sep-2031 [***] 1 [***] 69776 [***] [***] *(7) 737-7 (2023) Firm [***] [***] [***] [***] [***] Oct-2031 [***] 1 [***] 69777 [***] [***] *(7) 737-7 (2023) Firm [***] [***] [***] [***] [***] Oct-2031 [***] 1 [***] 69778 [***] [***] *(7) 737-7 (2023) Firm [***] [***] [***] [***] [***] Oct-2031 [***] 1 [***] 69779 [***] [***] *(7) 737-7 (2023) Firm [***] [***] [***] [***] [***] Oct-2031 [***] 1 [***] 69780 [***] [***] *(7) 737-7 (2023) Firm [***] [***] [***] [***] [***] Nov-2031 [***] 1 [***] 69781 [***] [***] *(7) 737-7 (2023) Firm [***] [***] [***] [***] [***] SWA-PA-03729 107953-1F 116795-1F 116953-1F 118300-1F Boeing Proprietary SA-25 Page 14


 
Table 1B To Purchase Agreement No. PA-03729 Aircraft Delivery, Description, Price and Advance Payments 737-7 Aircraft Invoice Escalation Manufacturer Escalation Estimate Advance Payment Per Aircraft (Amts. Due/Mos. Prior to Delivery): Delivery Escalation Number of Factor (3.3) Serial Escalation Adv. Payment Base At Signing 24 Mos. 21/18/12/9/6 Mos. Total Date*(1)(11) Date (3.2) Aircraft (Airframe) Number*(2) Factor Forecast [***] Note Price Per A/P [***] [***] [***] [***] Nov-2031 [***] 1 [***] 69782 [***] [***] *(7) 737-7 (2023) Firm [***] [***] [***] [***] [***] Nov-2031 [***] 1 [***] 69783 [***] [***] *(7) 737-7 (2023) Firm [***] [***] [***] [***] [***] Dec-2031 [***] 1 [***] 69784 [***] [***] *(7) 737-7 (2023) Firm [***] [***] [***] [***] [***] Dec-2031 [***] 1 [***] 69785 [***] [***] *(7) 737-7 (2023) Firm [***] [***] [***] [***] [***] Dec-2031 [***] 1 [***] 69786 [***] [***] *(7) 737-7 (2023) Firm [***] [***] [***] [***] [***] Total: 256 *(2) Manufacturer Serial Numbers (MSN) are for reference only and are subject to change. *(3.3) [***] *(4) [***] *(6) 737-8 OpEx & Sub: Original Option Aircraft exercised to firm and substituted from 737-8 to 737-7, ref LAs: SWA-PA-03729-LA-1106471R2 "Substitute Aircraft” / SWA-PA-03729-LA-1106473R2 “ ” *(7) 737-7 (2023) Firm: (Qty: 108, with SA-20) New 737-7 2023 Firm a/c, ref LA.: SWA-PA-03729-LA-2304184 “ ” *(8) 737-8 OpEx & Sub: 2020 Option Aircraft exercised to firm and substituted from 737-8 to 737-7, ref LAs.: SWA-PA-03729-LA-1106471R2 “Substitute Aircraft” / SWA-PA-03729-LA-1106473R2 “ ” *(10) 737-8 OpEx & Sub: 2021 Option Aircraft exercised to firm and substituted into 737-7 Aircraft (Qty: 8 in SA-24) per SWA-PA-03729-LA-1106471R2 “Substitute Aircraft” / SWA-PA-03729-LA-1106473R4 “ ” *(11) No change to delivery date from SA-22. Updated Delivery Guidance will be provided separately in Delay Characterization Notice. *(12) [***] substituted from model 737-7 to 737-8 (Sub Qty: 19, with SA-25). ref. LA: SWA-PA-3729-LA-2202855R7 “2023-2026 MAX Production Plan” (Table 1.5 of this LA). Other Notes: (1) [***] **** Substitutions: (Total Sub Qty: 237, as of SA-25) Aircraft substituted from model 737-7 to 737-8 in multiple SAs, ref LAs: SWA-PA-03729-LA-2103755 “2022/2023 Production Plan” Section 4 (Sub Qty: 40), SWA-PA-3729-LA-2202855R7 “2023-2026 MAX Production Plan” (Sub Qty: 197 in Table 1.1 of this LA) and this Table 1B for pricing terms and conditions for these substituted Aircraft. Separately, additional a/c were substituted, see note *(12) below. *(1) [***] *(3.1) [***] *(3.2) [***] *(5) Substitutions: see “**** Substitutions” below *(9) Reschedule Right/2025 Flexible Delivery Positions provided per LA No. SWA PA 03729 LA 2400908 “2025 Flexible Delivery Positions" (Crossed out because these terms no longer apply, but wasn’t removed to retain the chronological order of these notes and for historical record keeping purposes) SWA-PA-03729 107953-1F 116795-1F 116953-1F 118300-1F Boeing Proprietary SA-25 Page 15 [***] [***] [***] [***]


 
Attachment 1-A To Letter Agreement No. SWA-PA-03729-LA-1106474R8 Aircraft Delivery, Description, Price and Advance Payments Original Option Aircraft Airframe Model/MTOW: 737-8 181,200 pounds Detail Specification: D019A008-S (5/1/2017) Engine Model/Thrust: CFMLEAP-1B28(1) 27,900 pounds Airframe Price Base Year/Escalation Formu Jul-11 Airframe Price: [***] Engine Price Base Year/Escalation Formula N/A Optional Features: [***] Sub-Total of Airframe and Features: [***] Airframe Escalation Data: Engine Price (Per Aircraft): [***] Base Year Index (ECI): [***] Aircraft Basic Price (Excluding BFE/SPE): [***] Base Year Index (CPI): [***] Buyer Furnished Equipment (BFE) Estimate: [***] Seller Purchased Equipment (SPE) Estimate: [***] [***] Non-Refundable Deposit/Aircraft at Def Agreement: [***] Invoice Escalation Option Escalation Estimate Advance Payment Per Aircraft (Amts. Due/Mos. Prior to Delivery): Delivery Escalation Number of Factor (3.3) Escalation Exercise Date Adv Payment Base At Signing 24 Mos. 21/18/12/9/6 Mos Total Date*(1) Date (3.2) Aircraft (Airframe) Factor Forecast Deadline [***] Note Price Per A/P [***] [***] [***] [***] Jul-2027 [***] 1 [***] [***] [***] [***] [***] [***] [***] [***] [***] [***] Jul-2027 [***] 1 [***] [***] [***] [***] [***] [***] [***] [***] [***] [***] Aug-2027 [***] 1 [***] [***] [***] [***] [***] [***] [***] [***] [***] [***] Total: 3 *(2) Intentionally left blank. *(3.2) [***] *(3.3) [***] *** Previously earned - (5) additional Option Aircraft were added in Nov'18 (DA Payment 2021, but Escalation CAP 2024) Note: *(3.1) [***] (1) [***] *(1) [***] Attachment 1-A (Original Option Aircraft) to SWA-PA-03729-LA-1106474R8 Boeing Proprietary SA-25 Page 1


 
Attachment 1-B To Letter Agreement No. SWA-PA-03729-LA-1106474R8 Aircraft Delivery, Description, Price and Advance Payments 2020 Option Aircraft Airframe Model/MTOW: 737-8 181,200 pounds Detail Specification: D019A008-S (5/1/2017) 4Q20 External Fcst Engine Model/Thrust: CFMLEAP-1B28(1) 27,900 pounds Airframe Price Base Year/Escalation Formula: Jul-11 Non-Standard Airframe Price: [***] Engine Price Base Year/Escalation Formula: Jul-11 Non-Standard Optional Features: [***] Sub-Total of Airframe and Features: [***] Airframe Escalation Data: Engine Price (Per Aircraft): [***] Base Year Index (ECI): [***] Aircraft Basic Price (Excluding BFE/SPE): [***] Base Year Index (CPI): [***] Buyer Furnished Equipment (BFE) Estimate: [***] Seller Purchased Equipment (SPE) Estimate: [***] [***] Deposit per Aircraft: [***] Invoice Escalation Option Escalation Estimate Advance Payment Per Aircraft (Amts. Due/Mos. Prior to Delivery): Delivery Escalation Number of Factor (3.3) Escalation Exercise Date Adv Payment Base At Signing 24 Mos. 21/18/12/9/6 Mos. Total Date*(1) Date (3.2) Aircraft (Airframe) Factor Forecast Deadline [***] Note Price Per A/P [***] [***] [***] [***] Aug-2027 [***] 1 [***] [***] [***] [***] [***] [***] [***] [***] [***] [***] Sep-2027 [***] 1 [***] [***] [***] [***] [***] [***] [***] [***] [***] [***] Sep-2027 [***] 1 [***] [***] [***] [***] [***] [***] [***] [***] [***] [***] Oct-2027 [***] 1 [***] [***] [***] [***] [***] [***] [***] [***] [***] [***] Oct-2027 [***] 1 [***] [***] [***] [***] [***] [***] [***] [***] [***] [***] Nov-2027 [***] 1 [***] [***] [***] [***] [***] [***] [***] [***] [***] [***] Nov-2027 [***] 1 [***] [***] [***] [***] [***] [***] [***] [***] [***] [***] Dec-2027 [***] 1 [***] [***] [***] [***] [***] [***] [***] [***] [***] [***] Dec-2027 [***] 1 [***] [***] [***] [***] [***] [***] [***] [***] [***] [***] Dec-2027 [***] 1 [***] [***] [***] [***] [***] [***] [***] [***] [***] [***] Jan-2028 [***] 1 [***] [***] [***] [***] [***] [***] [***] [***] [***] [***] Total: 11 *(2) Intentionally left blank. *(3.3) [***] Note: *(3.1) [***] *(3.2) [***] (1) [***] *(1) Intentionally left blank Attachment 1-B (2020 Option Aircraft) to SWA-PA-03729-LA-1106474R8 Boeing Proprietary SA-25 Page 1


 
Attachment 1-C To Letter Agreement No. SWA-PA-03729-LA-1106474R8 Aircraft Delivery, Description, Price and Advance Payments 2021 Option Aircraft Airframe Model/MTOW: 737-8 181,200 pounds Detail Specification: D019A008-S (5/1/2017) Engine Model/Thrust: CFMLEAP-1B28(1) 28,800 pounds Airframe Price Base Year/Escalation Formula: Jul-11 Non-Standard Airframe Price: [***] Engine Price Base Year/Escalation Formula: Jul-11 Non-Standard Optional Features: [***] Sub-Total of Airframe and Features: [***] Airframe Escalation Data: Engine Price (Per Aircraft): [***] Base Year Index (ECI): [***] Aircraft Basic Price (Excluding BFE/SPE): [***] Base Year Index (CPI): [***] Buyer Furnished Equipment (BFE) Estimate: [***] Seller Purchased Equipment (SPE) Estimate: [***] [***] Deposit per Aircraft: [***] Invoice Escalation Option Escalation Estimate Advance Payment Per Aircraft (Amts. Due/Mos. Prior to Delivery): Delivery Escalation Number of Factor (3.3) Escalation Exercise Date Adv Payment Base At Signing 24 Mos. 21/18/12/9/6 Mos. Total Date*(1) Date (3.2) Aircraft (Airframe) Factor Forecast Deadline [***] Notes Price Per A/P [***] [***] [***] [***] Jan-2028 [***] 1 [***] [***] [***] [***] [***] [***] [***] [***] [***] [***] Jan-2028 [***] 1 [***] [***] [***] [***] [***] [***] [***] [***] [***] [***] Feb-2028 [***] 1 [***] [***] [***] [***] [***] [***] [***] [***] [***] [***] Feb-2028 [***] 1 [***] [***] [***] [***] [***] [***] [***] [***] [***] [***] Mar-2028 [***] 1 [***] [***] [***] [***] [***] [***] [***] [***] [***] [***] Mar-2028 [***] 1 [***] [***] [***] [***] [***] [***] [***] [***] [***] [***] Apr-2028 [***] 1 [***] [***] [***] [***] [***] [***] [***] [***] [***] [***] Apr-2028 [***] 1 [***] [***] [***] [***] [***] [***] [***] [***] [***] [***] May-2028 [***] 1 [***] [***] [***] [***] [***] [***] [***] [***] [***] [***] May-2028 [***] 1 [***] [***] [***] [***] [***] [***] [***] [***] [***] [***] Jun-2028 [***] 1 [***] [***] [***] [***] [***] [***] [***] [***] [***] [***] Jun-2028 [***] 1 [***] [***] [***] [***] [***] [***] [***] [***] [***] [***] Jul-2028 [***] 1 [***] [***] [***] [***] [***] [***] [***] [***] [***] [***] Jul-2028 [***] 1 [***] [***] [***] [***] [***] [***] [***] [***] [***] [***] Aug-2028 [***] 1 [***] [***] [***] [***] [***] [***] [***] [***] [***] [***] Aug-2028 [***] 1 [***] [***] [***] [***] [***] [***] [***] [***] [***] [***] Sep-2028 [***] 1 [***] [***] [***] [***] [***] [***] [***] [***] [***] [***] Sep-2028 [***] 1 [***] [***] [***] [***] [***] [***] [***] [***] [***] [***] Oct-2028 [***] 1 [***] [***] [***] [***] [***] [***] [***] [***] [***] [***] Oct-2028 [***] 1 [***] [***] [***] [***] [***] [***] [***] [***] [***] [***] Nov-2028 [***] 1 [***] [***] [***] [***] [***] [***] [***] [***] [***] [***] Nov-2028 [***] 1 [***] [***] [***] [***] [***] [***] [***] [***] [***] [***] Dec-2028 [***] 1 [***] [***] [***] [***] [***] [***] [***] [***] [***] [***] Dec-2028 [***] 1 [***] [***] [***] [***] [***] [***] [***] [***] [***] [***] Attachment 1-C (2021 Option Aircraft) to SWA-PA-03729-LA-1106474R8 Boeing Proprietary SA-25 Page 1


 
Attachment 1-C To Letter Agreement No. SWA-PA-03729-LA-1106474R8 Aircraft Delivery, Description, Price and Advance Payments 2021 Option Aircraft Invoice Escalation Option Escalation Estimate Advance Payment Per Aircraft (Amts. Due/Mos. Prior to Delivery): Delivery Escalation Number of Factor (3.3) Escalation Exercise Date Adv Payment Base At Signing 24 Mos. 21/18/12/9/6 Mos. Total Date*(1) Date (3.2) Aircraft (Airframe) Factor Forecast Deadline [***] Notes Price Per A/P [***] [***] [***] [***] Total: 24 *(2) Intentionally left blank. *(3.2) [***] *(3.3) [***] Note: *(1) Intentionally left blank. *(3.1) [***] (1) [***] Attachment 1-C (2021 Option Aircraft) to SWA-PA-03729-LA-1106474R8 Boeing Proprietary SA-25 Page 2


 
Attachment 1-D To Letter Agreement No. SWA-PA-03729-LA-1106474R8 Aircraft Delivery, Description, Price and Advance Payments 2023 Option Aircraft Airframe Model/MTOW: 737-8 181,200 pounds Detail Specification: D019A008-S (5/1/2017) 4Q22 External Fcst Engine Model/Thrust: CFMLEAP-1B28(1) 28,800 pounds Airframe Price Base Year/Escalation Formula: Jul-11 Airframe Price: [***] Engine Price Base Year/Escalation Formula: N/A Optional Features: [***] Sub-Total of Airframe and Features: [***] Airframe Escalation Data: Engine Price (Per Aircraft): [***] Base Year Index (ECI): [***] Aircraft Basic Price (Excluding BFE/SPE): [***] Base Year Index (CPI): [***] Buyer Furnished Equipment (BFE) Estimate: [***] Seller Purchased Equipment (SPE) Estimate: [***] LIFT Seats Provided by Boeing (Estimate): [***] Non-Refundable Deposit/Aircraft at Def Agreement: [***] Invoice Escalation Option Escalation Estimate Advance Pymnt Per Aircraft (Amts. Due/Mos. Prior to Delivery): Delivery Escalation Number of Factor (3.3) Escalation Exercise Date Adv Payment Base At Signing 24 Mos. 21/18/12/9/6 Mos. Total Date*(1) Date (3.2) Aircraft (Airframe) Factor Forecast Deadline [***] Notes Price Per A/P [***] [***] [***] [***] Apr-2029 [***] 1 [***] [***] [***] [***] [***] [***] [***] [***] [***] [***] Apr-2029 [***] 1 [***] [***] [***] [***] [***] [***] [***] [***] [***] [***] May-2029 [***] 1 [***] [***] [***] [***] [***] [***] [***] [***] [***] [***] May-2029 [***] 1 [***] [***] [***] [***] [***] [***] [***] [***] [***] [***] Jun-2029 [***] 1 [***] [***] [***] [***] [***] [***] [***] [***] [***] [***] Jun-2029 [***] 1 [***] [***] [***] [***] [***] [***] [***] [***] [***] [***] Jul-2029 [***] 1 [***] [***] [***] [***] [***] [***] [***] [***] [***] [***] Jul-2029 [***] 1 [***] [***] [***] [***] [***] [***] [***] [***] [***] [***] Aug-2029 [***] 1 [***] [***] [***] [***] [***] [***] [***] [***] [***] [***] Aug-2029 [***] 1 [***] [***] [***] [***] [***] [***] [***] [***] [***] [***] Sep-2029 [***] 1 [***] [***] [***] [***] [***] [***] [***] [***] [***] [***] Sep-2029 [***] 1 [***] [***] [***] [***] [***] [***] [***] [***] [***] [***] Oct-2029 [***] 1 [***] [***] [***] [***] [***] [***] [***] [***] [***] [***] Oct-2029 [***] 1 [***] [***] [***] [***] [***] [***] [***] [***] [***] [***] Nov-2029 [***] 1 [***] [***] [***] [***] [***] [***] [***] [***] [***] [***] Nov-2029 [***] 1 [***] [***] [***] [***] [***] [***] [***] [***] [***] [***] Dec-2029 [***] 1 [***] [***] [***] [***] [***] [***] [***] [***] [***] [***] Dec-2029 [***] 1 [***] [***] [***] [***] [***] [***] [***] [***] [***] [***] Jan-2030 [***] 1 [***] [***] [***] [***] [***] [***] [***] [***] [***] [***] Jan-2030 [***] 1 [***] [***] [***] [***] [***] [***] [***] [***] [***] [***] Jan-2030 [***] 1 [***] [***] [***] [***] [***] [***] [***] [***] [***] [***] Feb-2030 [***] 1 [***] [***] [***] [***] [***] [***] [***] [***] [***] [***] Attachment 1-D (2023 Option Aircraft) to SWA-PA-03729-LA-1106474R8 Boeing Proprietary SA-25 Page 1


 
Attachment 1-D To Letter Agreement No. SWA-PA-03729-LA-1106474R8 Aircraft Delivery, Description, Price and Advance Payments 2023 Option Aircraft Invoice Escalation Option Escalation Estimate Advance Pymnt Per Aircraft (Amts. Due/Mos. Prior to Delivery): Delivery Escalation Number of Factor (3.3) Escalation Exercise Date Adv Payment Base At Signing 24 Mos. 21/18/12/9/6 Mos. Total Date*(1) Date (3.2) Aircraft (Airframe) Factor Forecast Deadline [***] Notes Price Per A/P [***] [***] [***] [***] Feb-2030 [***] 1 [***] [***] [***] [***] [***] [***] [***] [***] [***] [***] Feb-2030 [***] 1 [***] [***] [***] [***] [***] [***] [***] [***] [***] [***] Feb-2030 [***] 1 [***] [***] [***] [***] [***] [***] [***] [***] [***] [***] Mar-2030 [***] 1 [***] [***] [***] [***] [***] [***] [***] [***] [***] [***] Mar-2030 [***] 1 [***] [***] [***] [***] [***] [***] [***] [***] [***] [***] Mar-2030 [***] 1 [***] [***] [***] [***] [***] [***] [***] [***] [***] [***] Mar-2030 [***] 1 [***] [***] [***] [***] [***] [***] [***] [***] [***] [***] Apr-2030 [***] 1 [***] [***] [***] [***] [***] [***] [***] [***] [***] [***] Apr-2030 [***] 1 [***] [***] [***] [***] [***] [***] [***] [***] [***] [***] Apr-2030 [***] 1 [***] [***] [***] [***] [***] [***] [***] [***] [***] [***] Apr-2030 [***] 1 [***] [***] [***] [***] [***] [***] [***] [***] [***] [***] May-2030 [***] 1 [***] [***] [***] [***] [***] [***] [***] [***] [***] [***] May-2030 [***] 1 [***] [***] [***] [***] [***] [***] [***] [***] [***] [***] May-2030 [***] 1 [***] [***] [***] [***] [***] [***] [***] [***] [***] [***] May-2030 [***] 1 [***] [***] [***] [***] [***] [***] [***] [***] [***] [***] Jun-2030 [***] 1 [***] [***] [***] [***] [***] [***] [***] [***] [***] [***] Jun-2030 [***] 1 [***] [***] [***] [***] [***] [***] [***] [***] [***] [***] Jun-2030 [***] 1 [***] [***] [***] [***] [***] [***] [***] [***] [***] [***] Jun-2030 [***] 1 [***] [***] [***] [***] [***] [***] [***] [***] [***] [***] Jul-2030 [***] 1 [***] [***] [***] [***] [***] [***] [***] [***] [***] [***] Jul-2030 [***] 1 [***] [***] [***] [***] [***] [***] [***] [***] [***] [***] Jul-2030 [***] 1 [***] [***] [***] [***] [***] [***] [***] [***] [***] [***] Jul-2030 [***] 1 [***] [***] [***] [***] [***] [***] [***] [***] [***] [***] Aug-2030 [***] 1 [***] [***] [***] [***] [***] [***] [***] [***] [***] [***] Aug-2030 [***] 1 [***] [***] [***] [***] [***] [***] [***] [***] [***] [***] Aug-2030 [***] 1 [***] [***] [***] [***] [***] [***] [***] [***] [***] [***] Aug-2030 [***] 1 [***] [***] [***] [***] [***] [***] [***] [***] [***] [***] Sep-2030 [***] 1 [***] [***] [***] [***] [***] [***] [***] [***] [***] [***] Sep-2030 [***] 1 [***] [***] [***] [***] [***] [***] [***] [***] [***] [***] Sep-2030 [***] 1 [***] [***] [***] [***] [***] [***] [***] [***] [***] [***] Sep-2030 [***] 1 [***] [***] [***] [***] [***] [***] [***] [***] [***] [***] Oct-2030 [***] 1 [***] [***] [***] [***] [***] [***] [***] [***] [***] [***] Oct-2030 [***] 1 [***] [***] [***] [***] [***] [***] [***] [***] [***] [***] Oct-2030 [***] 1 [***] [***] [***] [***] [***] [***] [***] [***] [***] [***] Attachment 1-D (2023 Option Aircraft) to SWA-PA-03729-LA-1106474R8 Boeing Proprietary SA-25 Page 2


 
Attachment 1-D To Letter Agreement No. SWA-PA-03729-LA-1106474R8 Aircraft Delivery, Description, Price and Advance Payments 2023 Option Aircraft Invoice Escalation Option Escalation Estimate Advance Pymnt Per Aircraft (Amts. Due/Mos. Prior to Delivery): Delivery Escalation Number of Factor (3.3) Escalation Exercise Date Adv Payment Base At Signing 24 Mos. 21/18/12/9/6 Mos. Total Date*(1) Date (3.2) Aircraft (Airframe) Factor Forecast Deadline [***] Notes Price Per A/P [***] [***] [***] [***] Oct-2030 [***] 1 [***] [***] [***] [***] [***] [***] [***] [***] [***] [***] Nov-2030 [***] 1 [***] [***] [***] [***] [***] [***] [***] [***] [***] [***] Nov-2030 [***] 1 [***] [***] [***] [***] [***] [***] [***] [***] [***] [***] Nov-2030 [***] 1 [***] [***] [***] [***] [***] [***] [***] [***] [***] [***] Dec-2030 [***] 1 [***] [***] [***] [***] [***] [***] [***] [***] [***] [***] Dec-2030 [***] 1 [***] [***] [***] [***] [***] [***] [***] [***] [***] [***] Dec-2030 [***] 1 [***] [***] [***] [***] [***] [***] [***] [***] [***] [***] Jan-2031 [***] 1 [***] [***] [***] [***] [***] [***] [***] [***] [***] [***] Jan-2031 [***] 1 [***] [***] [***] [***] [***] [***] [***] [***] [***] [***] Jan-2031 [***] 1 [***] [***] [***] [***] [***] [***] [***] [***] [***] [***] Feb-2031 [***] 1 [***] [***] [***] [***] [***] [***] [***] [***] [***] [***] Feb-2031 [***] 1 [***] [***] [***] [***] [***] [***] [***] [***] [***] [***] Feb-2031 [***] 1 [***] [***] [***] [***] [***] [***] [***] [***] [***] [***] Feb-2031 [***] 1 [***] [***] [***] [***] [***] [***] [***] [***] [***] [***] Mar-2031 [***] 1 [***] [***] [***] [***] [***] [***] [***] [***] [***] [***] Mar-2031 [***] 1 [***] [***] [***] [***] [***] [***] [***] [***] [***] [***] Mar-2031 [***] 1 [***] [***] [***] [***] [***] [***] [***] [***] [***] [***] Mar-2031 [***] 1 [***] [***] [***] [***] [***] [***] [***] [***] [***] [***] Apr-2031 [***] 1 [***] [***] [***] [***] [***] [***] [***] [***] [***] [***] Apr-2031 [***] 1 [***] [***] [***] [***] [***] [***] [***] [***] [***] [***] Apr-2031 [***] 1 [***] [***] [***] [***] [***] [***] [***] [***] [***] [***] Apr-2031 [***] 1 [***] [***] [***] [***] [***] [***] [***] [***] [***] [***] May-2031 [***] 1 [***] [***] [***] [***] [***] [***] [***] [***] [***] [***] May-2031 [***] 1 [***] [***] [***] [***] [***] [***] [***] [***] [***] [***] May-2031 [***] 1 [***] [***] [***] [***] [***] [***] [***] [***] [***] [***] May-2031 [***] 1 [***] [***] [***] [***] [***] [***] [***] [***] [***] [***] Jun-2031 [***] 1 [***] [***] [***] [***] [***] [***] [***] [***] [***] [***] Jun-2031 [***] 1 [***] [***] [***] [***] [***] [***] [***] [***] [***] [***] Jun-2031 [***] 1 [***] [***] [***] [***] [***] [***] [***] [***] [***] [***] Jun-2031 [***] 1 [***] [***] [***] [***] [***] [***] [***] [***] [***] [***] Jul-2031 [***] 1 [***] [***] [***] [***] [***] [***] [***] [***] [***] [***] Jul-2031 [***] 1 [***] [***] [***] [***] [***] [***] [***] [***] [***] [***] Jul-2031 [***] 1 [***] [***] [***] [***] [***] [***] [***] [***] [***] [***] Jul-2031 [***] 1 [***] [***] [***] [***] [***] [***] [***] [***] [***] [***] Attachment 1-D (2023 Option Aircraft) to SWA-PA-03729-LA-1106474R8 Boeing Proprietary SA-25 Page 3


 
Attachment 1-D To Letter Agreement No. SWA-PA-03729-LA-1106474R8 Aircraft Delivery, Description, Price and Advance Payments 2023 Option Aircraft Invoice Escalation Option Escalation Estimate Advance Pymnt Per Aircraft (Amts. Due/Mos. Prior to Delivery): Delivery Escalation Number of Factor (3.3) Escalation Exercise Date Adv Payment Base At Signing 24 Mos. 21/18/12/9/6 Mos. Total Date*(1) Date (3.2) Aircraft (Airframe) Factor Forecast Deadline [***] Notes Price Per A/P [***] [***] [***] [***] Aug-2031 [***] 1 [***] [***] [***] [***] [***] [***] [***] [***] [***] [***] Aug-2031 [***] 1 [***] [***] [***] [***] [***] [***] [***] [***] [***] [***] Aug-2031 [***] 1 [***] [***] [***] [***] [***] [***] [***] [***] [***] [***] Aug-2031 [***] 1 [***] [***] [***] [***] [***] [***] [***] [***] [***] [***] Sep-2031 [***] 1 [***] [***] [***] [***] [***] [***] [***] [***] [***] [***] Sep-2031 [***] 1 [***] [***] [***] [***] [***] [***] [***] [***] [***] [***] Sep-2031 [***] 1 [***] [***] [***] [***] [***] [***] [***] [***] [***] [***] Sep-2031 [***] 1 [***] [***] [***] [***] [***] [***] [***] [***] [***] [***] Oct-2031 [***] 1 [***] [***] [***] [***] [***] [***] [***] [***] [***] [***] Oct-2031 [***] 1 [***] [***] [***] [***] [***] [***] [***] [***] [***] [***] Oct-2031 [***] 1 [***] [***] [***] [***] [***] [***] [***] [***] [***] [***] Oct-2031 [***] 1 [***] [***] [***] [***] [***] [***] [***] [***] [***] [***] Nov-2031 [***] 1 [***] [***] [***] [***] [***] [***] [***] [***] [***] [***] Nov-2031 [***] 1 [***] [***] [***] [***] [***] [***] [***] [***] [***] [***] Nov-2031 [***] 1 [***] [***] [***] [***] [***] [***] [***] [***] [***] [***] Dec-2031 [***] 1 [***] [***] [***] [***] [***] [***] [***] [***] [***] [***] Dec-2031 [***] 1 [***] [***] [***] [***] [***] [***] [***] [***] [***] [***] Dec-2031 [***] 1 [***] [***] [***] [***] [***] [***] [***] [***] [***] [***] Total: 108 *(2) Intentionally left blank. *(3.2) [***] *(3.3) [***] Note: *(1) Intentionally left blank. *(3.1) [***] (1) [***] Attachment 1-D (2023 Option Aircraft) to SWA-PA-03729-LA-1106474R8 Boeing Proprietary SA-25 Page 4


 
SWA-PA-03729-LA-2202855R7 SA-25 2023-2026 MAX Production Plan Page 1 BOEING PROPRIETARY The Boeing Company P.O. Box 3707 Seattle, WA 98124-2207 SWA-PA-03729-LA-2202855R7 Southwest Airlines Co. 2702 Love Field Drive P.O. Box 36611 Dallas, Texas 75235-1611 Subject: 2023-2026 MAX Production Plan References: 1) Purchase Agreement No. PA-03729 (Purchase Agreement) between The Boeing Company (Boeing) and Southwest Airlines Co. (Customer) relating to model 737-8 and model 737-7 aircraft (collectively, Aircraft) 2) Table 1A to the Purchase Agreement entitled “Table 1A to Purchase Agreement No. PA-03729 Aircraft Delivery, Description, Price and Advance Payments 737-8 Aircraft” (Table 1A) 3) Table 1B to the Purchase Agreement entitled “Table 1B to Purchase Agreement No. PA-03729 Aircraft Delivery, Description, Price and Advance Payments 737-7 Aircraft” (Table 1B) This letter agreement (Letter Agreement) amends and supplements the Purchase Agreement. All terms used but not defined in this Letter Agreement shall have the same meaning as in the Purchase Agreement. 1. 737-8 Special Substitution Aircraft. 1.1 , Boeing and Customer have agreed to the substitution of one hundred ninety-seven (197) model 737-7 Aircraft with scheduled delivery months in January 2023 through March 2026 (737-8 Special 2023-2026 Substitution Aircraft), as shown in the table immediately below and reflected in Table 1A and Table 1B to the Purchase Agreement. Table 1.1 Special 2023-2026 Substitution Aircraft Contract Delivery Month Quantity of 737-8 Special 2023-2026 Substitution Aircraft January 2023 10 February 2023 10 March 2023 10 April 2023 10 [***]


 
SWA-PA-03729-LA-2202855R7 SA-25 2023-2026 MAX Production Plan Page 2 BOEING PROPRIETARY May 2023 8 June 2023 3 July 2023 5 August 2023 2 September 2023 4 October 2023 3 November 2023 4 December 2023 4 January 2024 5 February 2024 6 March 2024 8 April 2024 8 May 2024 8 June 2024 1 November 2024 3 January 2025 5 February 2025 7 March 2025 11 April 2025 4 May 2025 5 June 2025 3 August 2025 6 September 2025 3 October 2025 9 November 2025 11 December 2025 9 January 2026 3 February 2026 5 March 2026 4 Total 197 1.2 [***]


 
SWA-PA-03729-LA-2202855R7 SA-25 2023-2026 MAX Production Plan Page 3 BOEING PROPRIETARY 1.3 1.4 1.5 [***] [***] [***]


 
SWA-PA-03729-LA-2202855R7 SA-25 2023-2026 MAX Production Plan Page 4 BOEING PROPRIETARY 1.6 [***]


 
SWA-PA-03729-LA-2202855R7 SA-25 2023-2026 MAX Production Plan Page 5 BOEING PROPRIETARY 2. Assignment. Notwithstanding any other provisions of the Purchase Agreement, the rights and obligations described in (i) this Letter Agreement and (ii) Letter Agreement No. SWA-PA- 03729-LA-2103755 entitled “2022/2023 Production Plan” are provided to Customer in


 
SWA-PA-03729-LA-2202855R7 SA-25 2023-2026 MAX Production Plan Page 6 BOEING PROPRIETARY consideration of Customer's becoming the operator of the Aircraft and cannot be assigned in whole or in part. 3. Confidentiality. Customer understands that certain commercial and financial information contained in this Letter Agreement is considered by Boeing as confidential and has value precisely because it is not available generally to other parties. Customer agrees to limit the disclosure of the contents of this Letter Agreement to (a) its directors and officers, (b) employees of Customer with a need to know the contents for performing its obligations (including, without limitation, those employees performing accounting, finance, administration and other functions necessary to finance and purchase, deliver or lease the Aircraft) and who understand they are not to disclose its contents to any other person or entity (other than those to whom disclosure is permitted by this Article) without the prior written consent of Boeing and (c) any auditors and attorneys of Customer who have a need to know such information and have signed a confidentiality agreement in the same form and substance similar to this Article, or are otherwise bound by a confidentiality obligation. Disclosure to other parties is not permitted without Boeing’s consent except as may be required by applicable law or governmental regulations. Customer shall be fully responsible to Boeing for compliance with such obligations.


 
SWA-PA-03729-LA-2202855R7 SA-25 2023-2026 MAX Production Plan Page 7 BOEING PROPRIETARY Very truly yours, THE BOEING COMPANY By /s/ McKenzie Kuckhahn Name McKenzie Kuckhahn Its Attorney-In-Fact ACCEPTED AND AGREED TO this Date: March 31, 2026 SOUTHWEST AIRLINES CO. By /s/ Jon Stephens Name Jon Stephens Its VP Fleet Management